lemon-mirror:
Home >> Acura >> 1997 >> 1.6EL XS, Automatic >> Repair and Diagnosis >> Engine Performance >> System >> PGM-FI System >> Troubleshooting Flow Charts >> Engine Control Module/Powertrain Control Module (ECM/PCM)

Engine Control Module/Powertrain Control Module (ECM/PCM)

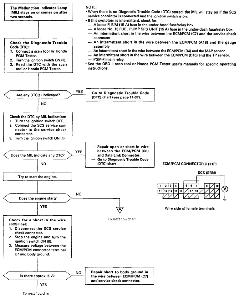
Fig 1: Engine Control Module/Powertrain Control Module - Troubleshooting Flowchart (1 Of 4)
G06287940Courtesy of AMERICAN HONDA MOTOR CO., INC.
Fig 2: Engine Control Module/Powertrain Control Module - Troubleshooting Flowchart(2 Of 4)
G06287941Courtesy of AMERICAN HONDA MOTOR CO., INC.
Fig 3: Engine Control Module/Powertrain Control Module - Troubleshooting Flowchart(3 Of 4)
G06287942Courtesy of AMERICAN HONDA MOTOR CO., INC.
Fig 4: Engine Control Module/Powertrain Control Module - Troubleshooting Flowchart(4 Of 4)
G06287943Courtesy of AMERICAN HONDA MOTOR CO., INC.