lemon-mirror:
Home >> Acura >> 2000 >> 1.6EL RS, Automatic >> Repair and Diagnosis >> Engine Performance >> System >> PGM-FI System >> Troubleshooting Flowcharts >> Engine Control Module/Powertrain Control Module (ECM/PCM)

Engine Control Module/Powertrain Control Module (ECM/PCM)

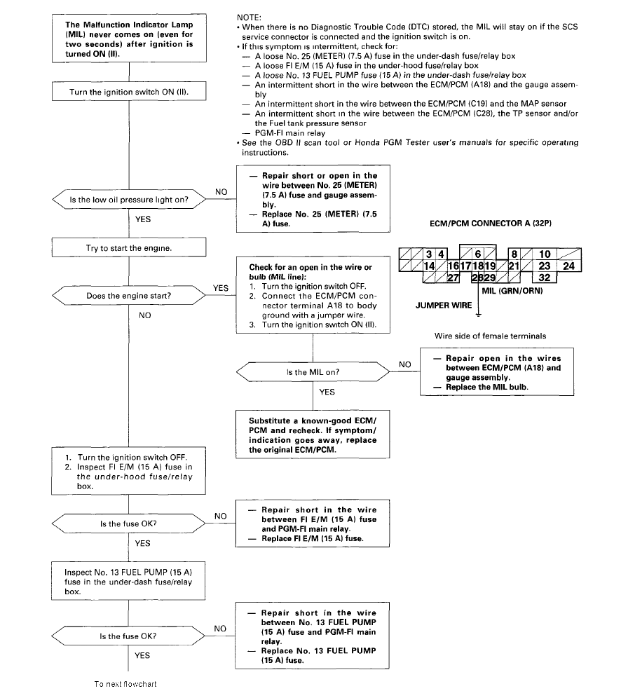
Fig 1: ECM/PCM Troubleshooting Flowchart (1 Of 4)
G06290298Courtesy of AMERICAN HONDA MOTOR CO., INC.
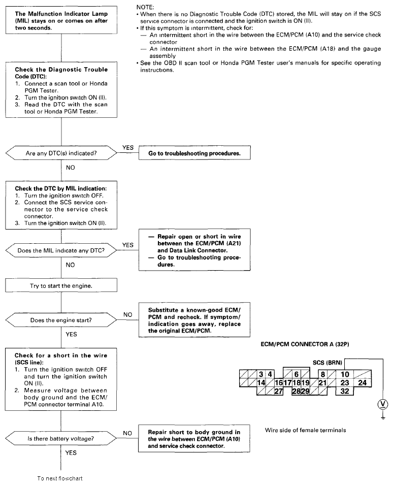
Fig 2: ECM/PCM Troubleshooting Flowchart (2 Of 4)
G06290299Courtesy of AMERICAN HONDA MOTOR CO., INC.
Fig 3: ECM/PCM Troubleshooting Flowchart (3 Of 4)
G06290300Courtesy of AMERICAN HONDA MOTOR CO., INC.
Fig 4: ECM/PCM Troubleshooting Flowchart (4 Of 4)
G06290301Courtesy of AMERICAN HONDA MOTOR CO., INC.