lemon-mirror:
Home >> Cadillac >> 1983 >> Seville 5.7 N >> Repair and Diagnosis >> Engine Performance >> System >> DFI Tests W/Codes >> Diagnostic Code Charts >> Code 15 - Open Cts Circuit >> Notes

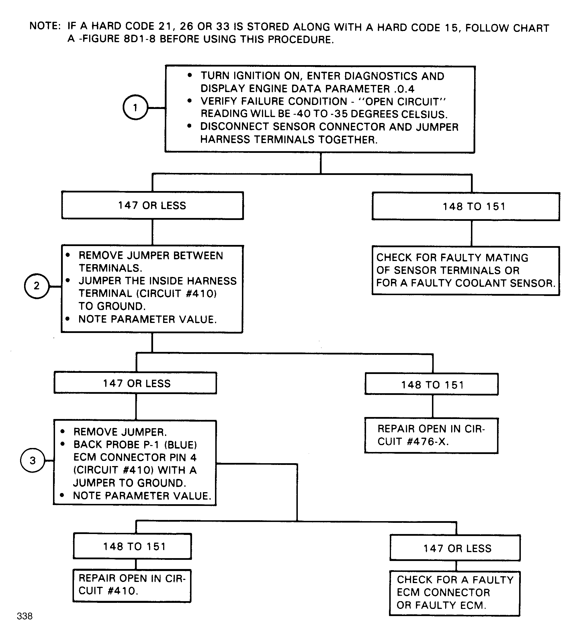
Code 15 - Open Cts Circuit: Notes

Fig 1: Flow Chart, Code 15 - Open Coolant Temperature Sensor (CTS) Circuit
G338
Fig 2: Flow Chart, Code 15 - Open Coolant Temperature Sensor (CTS) Circuit
GB0046313