lemon-mirror:
Home >> Cadillac >> 1984 >> Seville 4.1 8 >> Repair and Diagnosis >> Engine Performance >> System >> DFI Tests W/Codes >> Testing - System Performance Charts >> Performance Chart 12

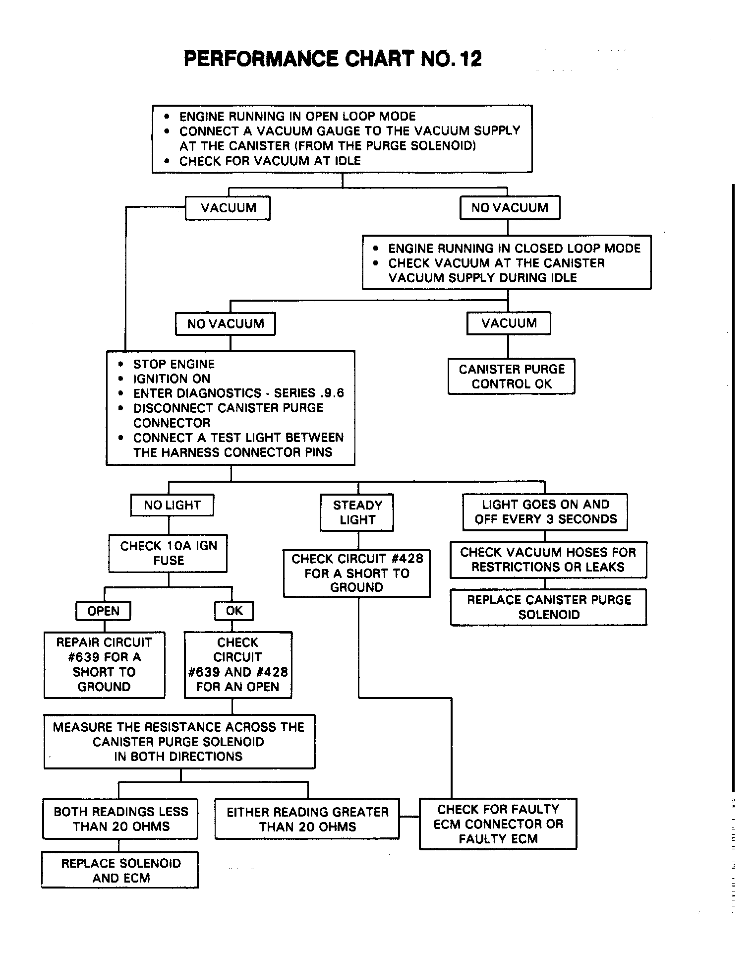
Performance Chart 12

Fig 1: Performance Chart No. 12
G9266