lemon-mirror:
Home >> Cadillac >> 1988 >> Seville Base >> Repair and Diagnosis >> Engine Performance >> System >> DFI BCM Tests W/Codes >> Chart B2 - BCM-To-IPC Communication Problem

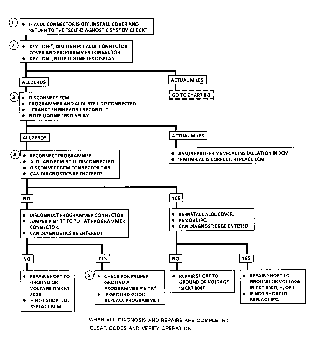
Chart B2 - BCM-To-IPC Communication Problem

You are at this chart because odometer, with key on, read all zeroes and courtesy lights turned on when switch was actuated. These symptoms indicate a loss of BCM data communication to the Instrument Panel Cluster (IPC), which is a result of one of several different possible problems.

NOTE: Test numbers refer to test numbers on diagnostic chart.
  1. If ALDL connector cover is off or loose, this could cause a break in data circuit, cutting off BCM communication to IPC under certain electrical conditions. Should this be the case, securely connect ALDL cover and return to beginning of SELF-DIAGNOSTIC SYSTEM CHECK.
  2. Isolates ALDL connector, the ECM and programmer from data circuit in order to determine location of fault. If odometer reads actual accumulated miles, the fault lies within network between ALDL connector, the ECM and programmer.
  3. Checks to see if fault is due to ECM and its related data circuits, or the programmer and its related circuits.
  4. Determines if fault is associated with IPC or BCM.
  5. Determines if fault is due to programmer, programmer's logic, or ground circuit No. 801 from Central Power Supply (CPS).
Fig 1: Chart B2 Schematic, BCM-To-IPC Communication Problem
G57274
Fig 2: Flow Chart B2, BCM-To-IPC Communication Problem
G57276
Fig 3: Flow Chart B2, BCM-To-IPC Communication Problem
GB0048555