lemon-mirror:
Home >> Cadillac >> 1992 >> Seville Base >> Repair and Diagnosis >> Engine Performance >> System >> Engine Controls - Tests W/Codes >> Pcm Code Charts >> Pcm Code E031, Shorted Map Sensor Circuit >> Note On Intermittents

Note On Intermittents

Manipulate affected wiring and connectors while observing PCM parameter ED02. Apply and release vacuum to MAP sensor vacuum port using a vacuum source. If PCM parameter ED02 displays greater than 108 kPa, condition has been induced and intermittent should be repaired. If wiring and connectors are okay, substitute a known good sensor, and retest.

Fig 1: PCM Code E031, Schematic, Shorted MAP Sensor Circuit
G92J05016Courtesy of GENERAL MOTORS CORP.
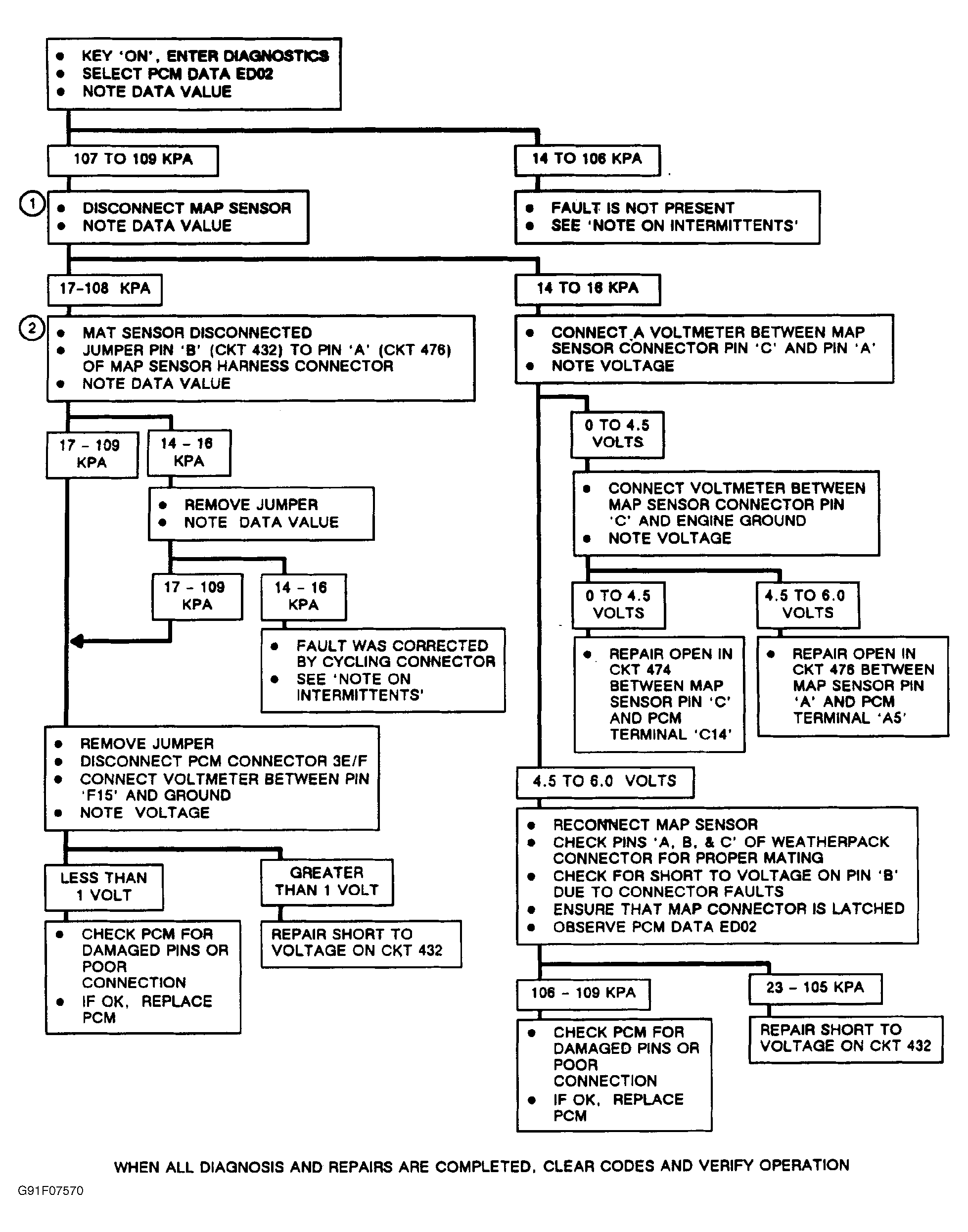
Fig 2: PCM Code E031, Flow Chart, Shorted MAP Sensor Circuit
G91F07570Courtesy of GENERAL MOTORS CORP.
Fig 3: PCM Code E031
GB0011187