lemon-mirror:
Home >> Cadillac >> 1992 >> Seville Base >> Repair and Diagnosis >> Engine Performance >> System >> Engine Controls - Tests W/Codes >> Pcm Code Charts >> Pcm Code E043, Left Oxygen (O2) Sensor Rich Signal >> Note On Intermittents

Note On Intermittents

With engine running, manipulate O2 sensor harness, PCM wiring and connectors while observing PCM parameter ED33. If fault is induced, ED33 will jump to greater than .63 volt and ECON status light will glow. Manipulate circuit No. 413 (ground to engine), and look for a loose ground eyelet or ground eyelet installed at wrong location. If O2 sensor circuit is okay or lean engine operation is suspected, perform PFI SELF-DIAGNOSTIC SYSTEM CHECK  .

Fig 1: PCM Code E043, Schematic, Left Oxygen (O2) Sensor Rich Signal
G92E05014
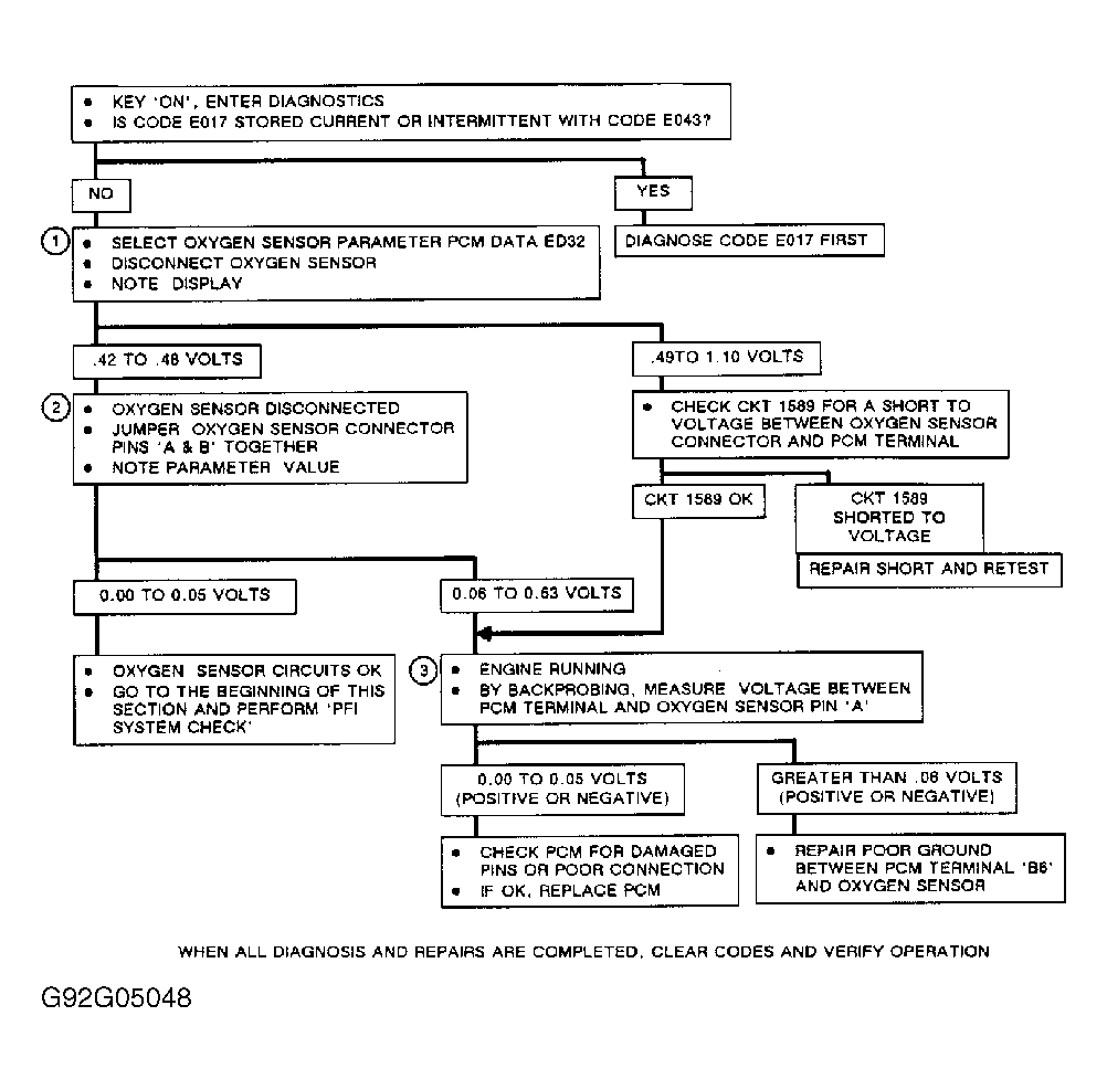
Fig 2: PCM Code E043, Flow Chart, Left Oxygen (O2) Sensor Rich Signal
G92G05048
Fig 3: PCM Code E043
GB0011197