lemon-mirror:
Home >> Cadillac >> 1995 >> Eldorado Base >> Repair and Diagnosis >> Engine Performance >> System >> Engine Controls - Tests W/Codes >> Pcm Code Charts >> Code P041, No Cam Reference Sens SGNL From IGN Control Module >> Action

Code P041, No Cam Reference Sens SGNL From IGN Control Module: Action

PCM turns on MIL.

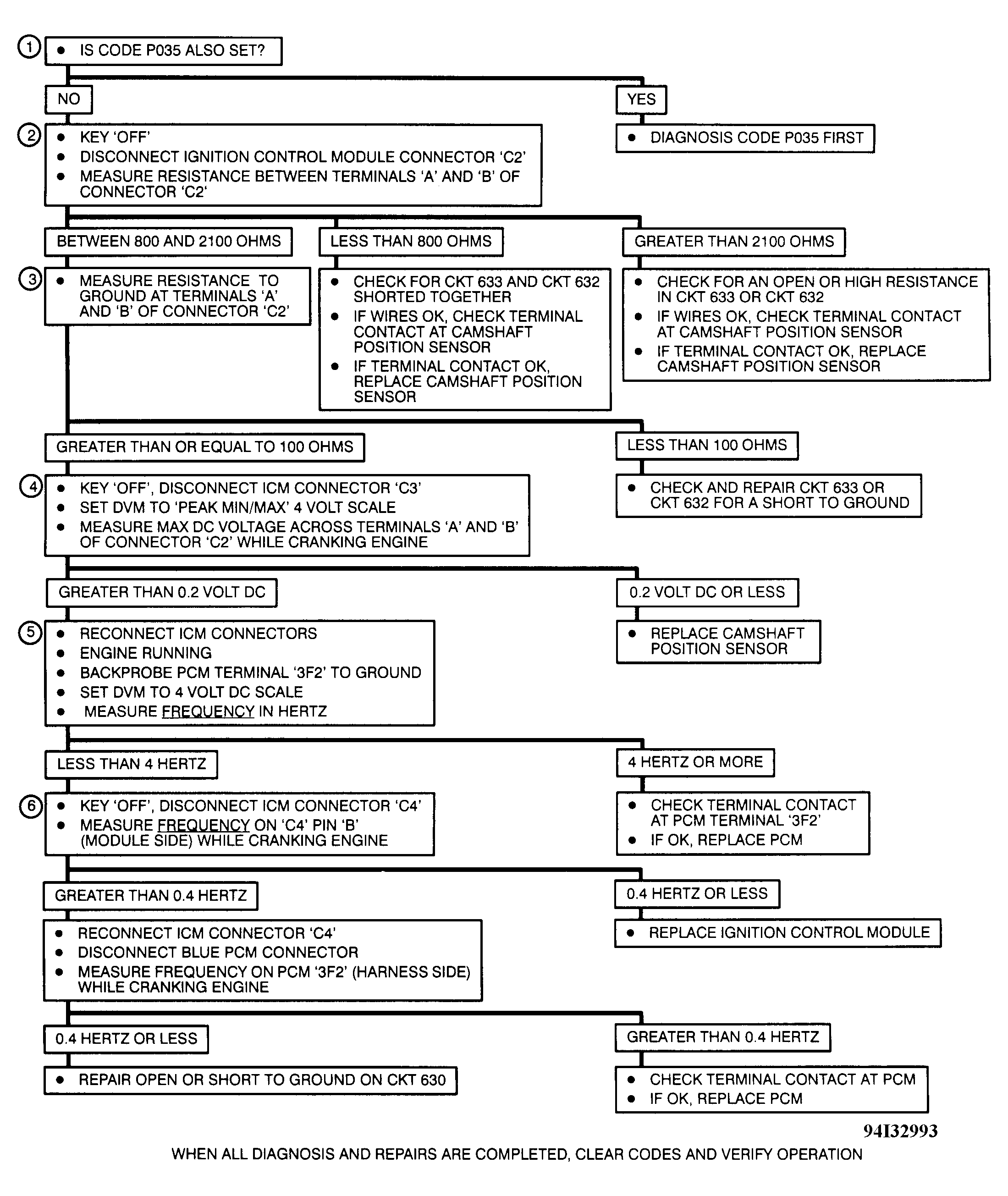
NOTE: Test numbers refer to numbers on diagnostic chart.
  1. Checks if Code P035 is set because a REF LO problem can cause other ignition problems.
  2. Checks resistance of camshaft position sensor. Resistance should be 800-1200 ohms. If resistance is greater, check for an open circuit. If resistance is less, check for a short.
  3. Checks if circuits No. 632 or 633 is shorted to ground.
  4. Checks if sensor is able to produce a DC voltage greater than 0.2 volt. If it can, sensor is okay.
  5. A reading of 4 Hertz with engine running means that ignition control module is producing cam pulses.
  6. Checks if circuit is at fault or if ICM is faulty.
Fig 1: Code P041 Schematic, No CAM Reference Sensor Signal From Ignition Control Module
G94G32942Courtesy of GENERAL MOTORS CORP.
Fig 2: Code P041 Diagnostic Flow Chart, No CAM Reference Sensor Signal From Ignition Control Module
G94I32993Courtesy of GENERAL MOTORS CORP.