lemon-mirror:
Home >> Cadillac >> 1995 >> Eldorado Base >> Repair and Diagnosis >> Engine Performance >> System >> Engine Controls - Tests W/Codes >> Pcm Code Charts >> Code P083, 24X Reference Signal High >> Actions

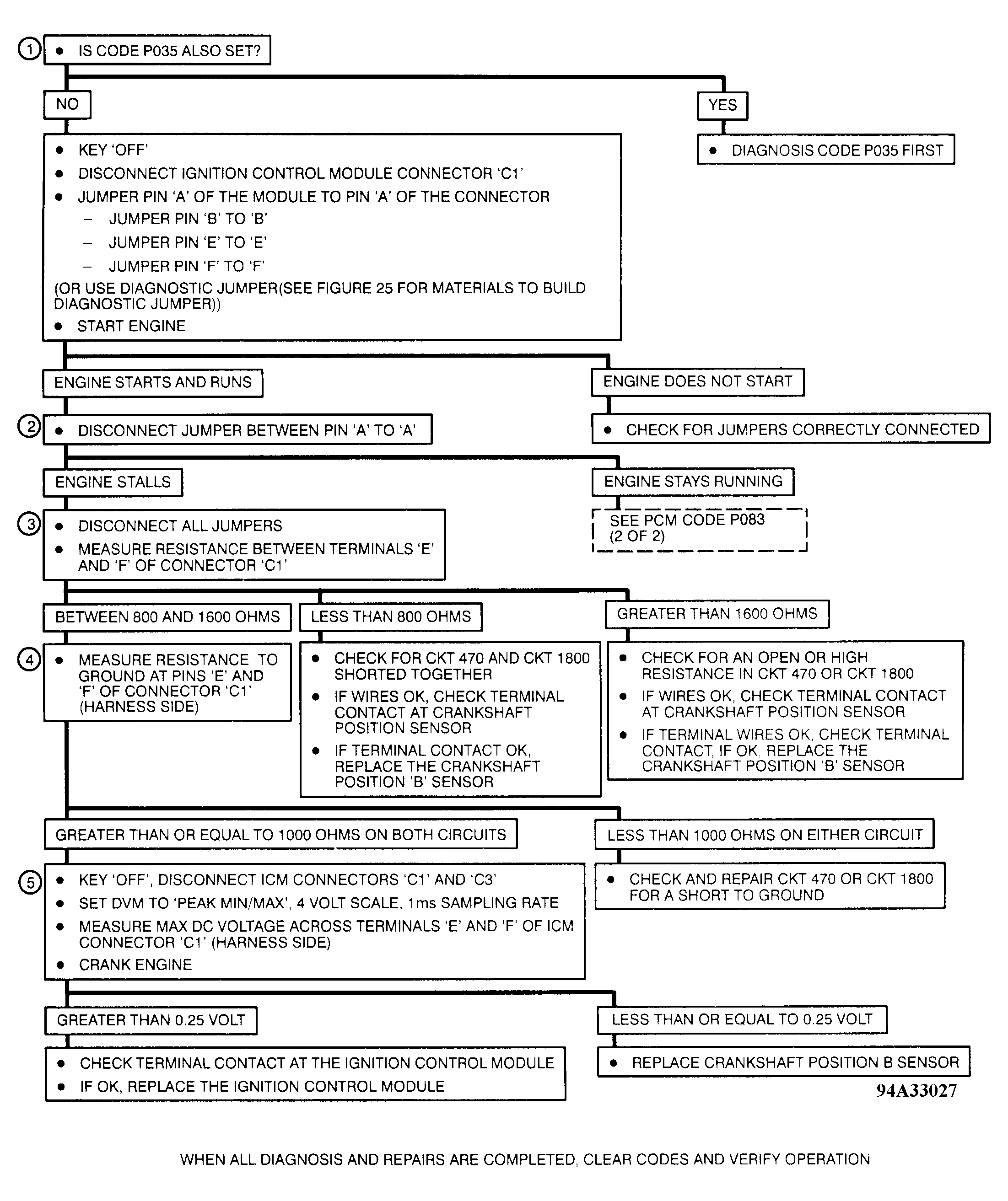
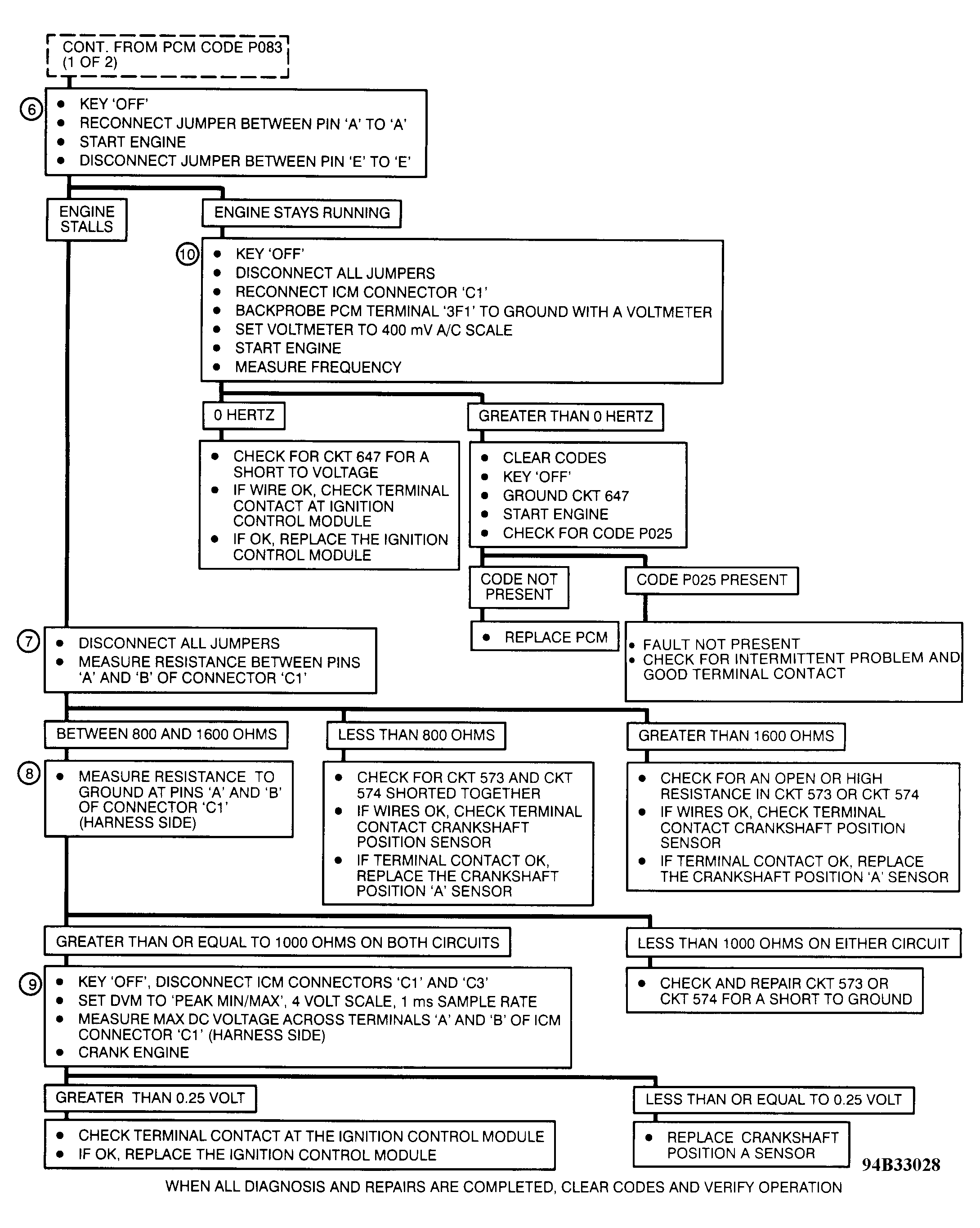
Code P083, 24X Reference Signal High: Actions

PCM turns on MIL.

NOTE: Test number refers to number on diagnostic chart.
  1. Checks if Code P035 is set. REF LO problem can cause other ignition problem.
  2. If engine stalls, problem is with crankshaft sensor "B". Engine will continue running with only one crankshaft sensor.
  3. Checks crankshaft position "B" sensor for open or shorted circuit. Resistance should be 800-1600 ohms.
  4. Checks if circuits No. 470 or 1800 is shorted to ground. If circuit is shorted to ground, resistance will be less than 100 ohms.
  5. Sensor is okay if it is able to produce a DC voltage greater than 0.25.
  6. If engine stalls, problem is with crankshaft position sensor "A". If engine remains running, ignition module or circuit No. 647 is shorted.
  7. Checks crankshaft position sensor "A" circuit for open or short. Resistance should be 800-1600 ohms.
  8. Checks if circuit No. 573 or 574 is shorted to ground. If circuit is shorted to ground, resistance will be less than 100 ohms.
  9. If sensor is able to produce a DC voltage of greater than .25 volt, sensor is okay.
  10. Checks if circuit No. 647 is shorted high or if ICM is keeping high. If reading is greater than zero Hertz, ICM and circuit NO. 647 are okay. Check for intermittent fault.
Fig 1: Code P083 Schematic, 24X Reference Signal High
G94G32942Courtesy of GENERAL MOTORS CORP.
Fig 2: Code P083 Diag. Flow Chart - 1 Of 2, 24X Reference Signal High
G94A33027Courtesy of GENERAL MOTORS CORP.
Fig 3: Code P083 Diag. Flow Chart - 2 Of 2, 24X Reference Signal High
G94B33028Courtesy of GENERAL MOTORS CORP.