lemon-mirror:
Home >> Chevrolet >> 2003 >> Corvette Base, 2D Convertible, Automatic >> Repair and Diagnosis (Single Page) >> Engine Mechanical >> Engine Mechanical - 5.7L >> Specifications >> Thread Repair Specifications >> Engine Block-Front View

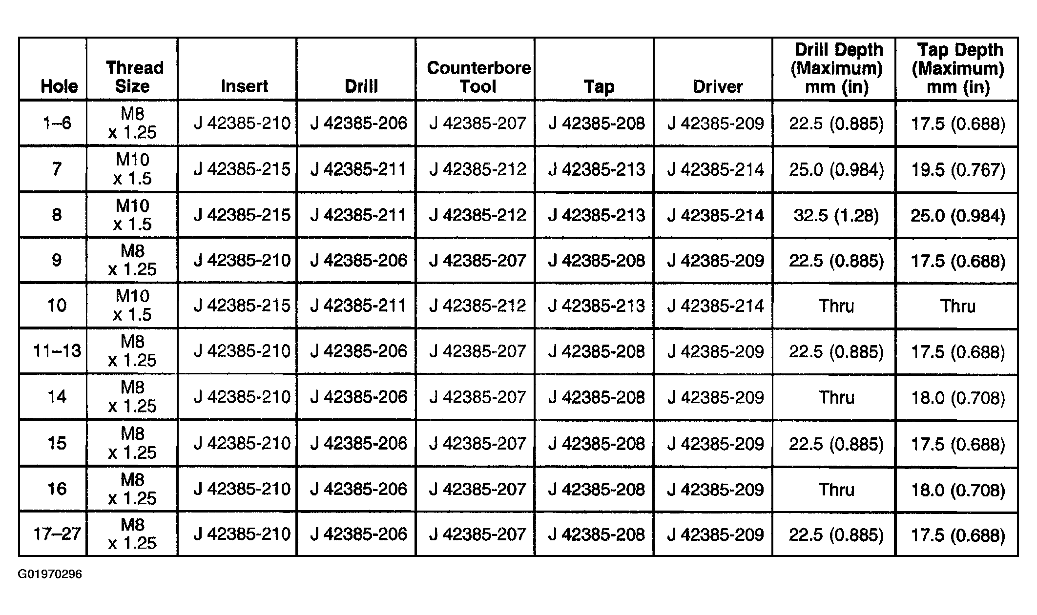
Engine Block-Front View

Fig 1: Component Location And Specifications - Engine Block-Front View
G01970295Courtesy of GENERAL MOTORS CORP.
Fig 2: Component Location And Specifications - Engine Block-Front View (Callouts)
G01970296Courtesy of GENERAL MOTORS CORP.