lemon-mirror:
Home >> Dodge and Ram >> 2021 >> ProMaster 2500 >> Repair and Diagnosis >> Transmission >> Automatic Trans >> Cooling System >> Operation

Cooling System: Operation

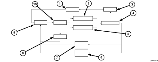
GC0147002Courtesy of CHRYSLER GROUP, LLC
1 - RADIATOR
6 - REAR HEATER CORE
2 - RIGHT CYLINDER HEAD
7 - FRONT HEATER CORE
3 - THERMOSTAT
8 - OIL COOLER
4 - WATER CROSSOVER
9 - WATER PUMP
5 - LEFT CYLINDER HEAD
10 - CYLINDER BLOCK

The engine cooling systems primary purpose is to maintain engine temperature in a range that will provide satisfactory engine performance and emission levels under all expected driving conditions. It also provides hot coolant for heater performance. It does this by transferring heat from engine metal to coolant, moving this heated coolant to the radiator, and then transferring this heat to the ambient air.