lemon-mirror:
Home >> GMC >> 1983 >> Jimmy 5.7 L >> Repair and Diagnosis >> Engine Performance >> System >> Feedback Carburetor Component Test >> System Performance Check - Testing

System Performance Check - Testing

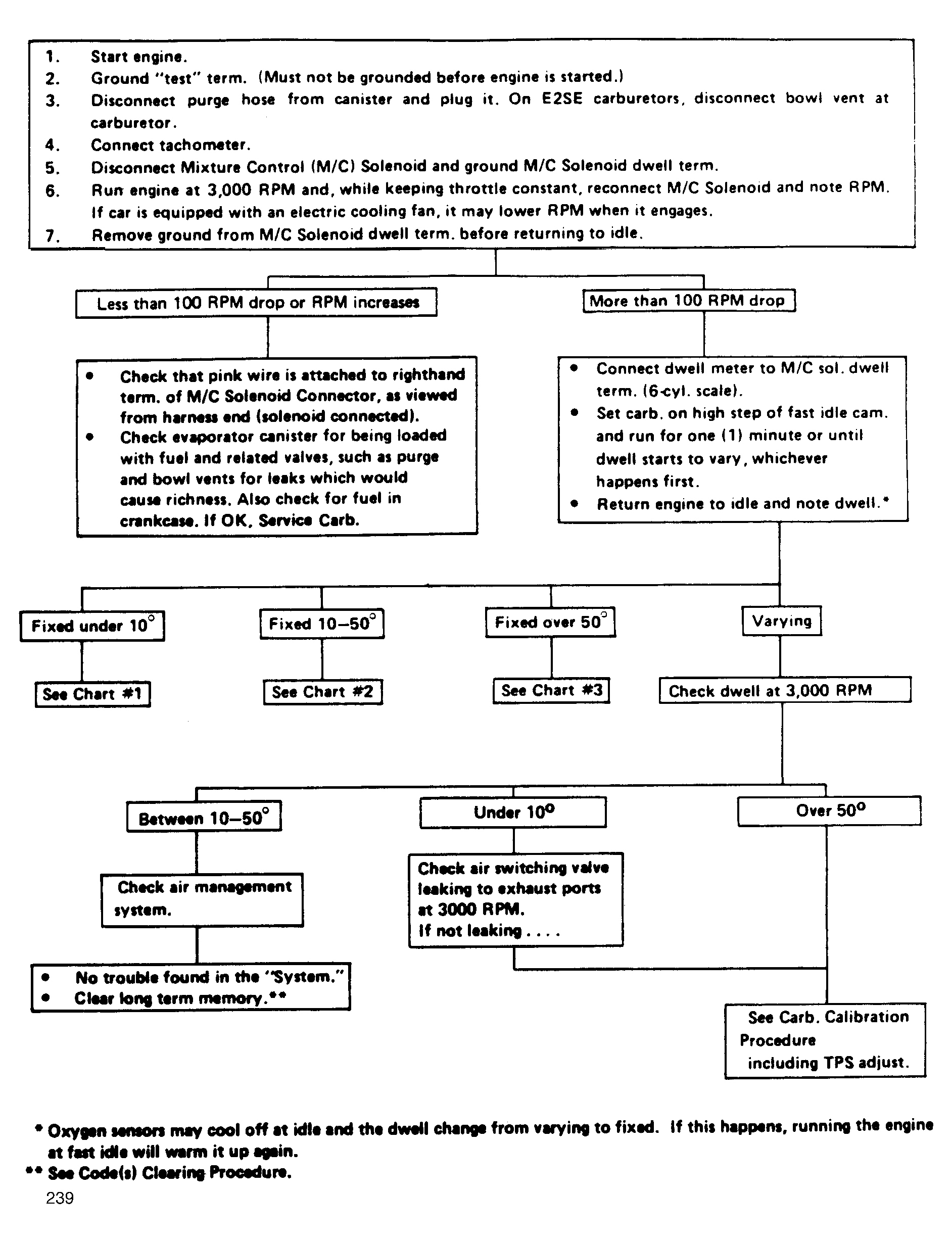
Fig 1: System Performance Check Chart
G239