lemon-mirror:
Home >> GMC >> 1994 >> C3500 HD 7.4 N, Automatic >> Repair and Diagnosis >> Engine Performance >> System >> Engine Controls - System/Component Tests - Gasoline >> Component Locations

Component Locations

Fig 1: Component Location For 4.3L (VIN Z) "C" & "K" Series - Calif.
G94G42511Courtesy of GENERAL MOTORS CORP.
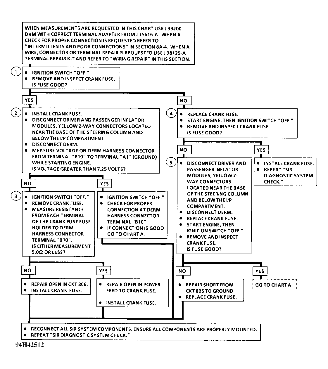
Fig 2: Component Location For 4.3L (VIN Z) "C" & "K" Series With 4L60E A/T
G94H42512Courtesy of GENERAL MOTORS CORP.
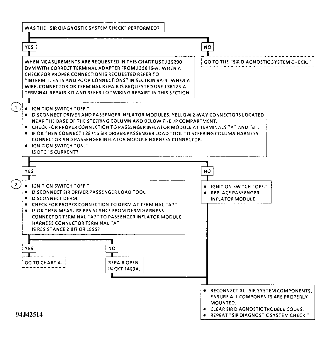
Fig 3: Component Location For 4.3L (VIN Z) "C" & "K" Series W/ M/T
G94J42514Courtesy of GENERAL MOTORS CORP.
Fig 4: Component Location For 5.0L (VIN H) & 5.7L (VIN K) "C" & "K" Series With A/T
G94A42515Courtesy of GENERAL MOTORS CORP.
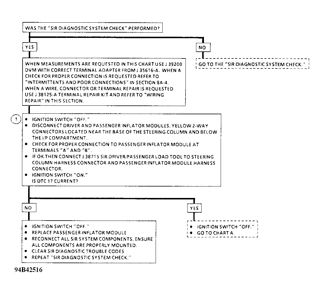
Fig 5: Component Location For 5.0L (VIN H) & 5.7L (VIN K) "C" & "K" Series With M/T
G94B42516Courtesy of GENERAL MOTORS CORP.
Fig 6: Component Location For 5.7L (VIN K) "C" & "K" Series W/ A/T
G94C42517Courtesy of GENERAL MOTORS CORP.
Fig 7: Component Location For 7.4L (VIN N) "C" & "K" Series W/ A/T
G94E42519Courtesy of GENERAL MOTORS CORP.
Fig 8: Component Location For 7.4L (VIN N) "C" & "K" Series W/ M/T
G94H42520Courtesy of GENERAL MOTORS CORP.