lemon-mirror:
Home >> Geo >> 1989 >> Tracker Base, Standard >> Repair and Diagnosis >> Engine Performance >> System >> Tests W/Codes >> Code 23, Mat Temp High >> Code 23, Manifold Air Temperature (Mat) Sensor Circuit High Temperature Indicated

Code 23, Manifold Air Temperature (Mat) Sensor Circuit High Temperature Indicated

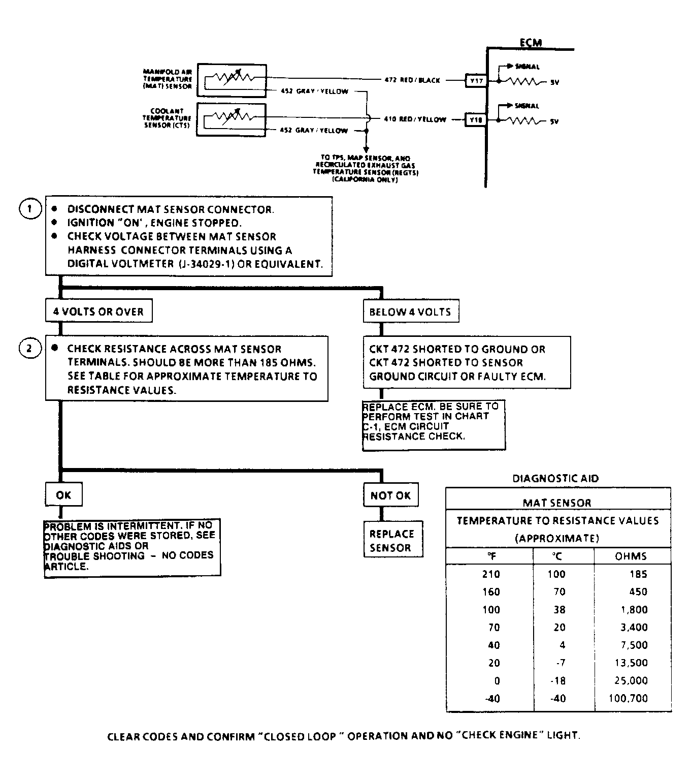
MAT sensor uses a thermistor to control signal voltage to the ECM. The ECM applies 4-6 volts on circuit No. 472 to the sensor. When manifold air is cold, sensor resistance is high, this means ECM will see high signal voltage. As air temperature warms, sensor resistance becomes less and voltage drops.

NOTE: Test numbers refer to test numbers on diagnostic chart.
  1. Code 23 will set if signal voltage indicates manifold air temperature is more than 302°F (150°C) for 2 seconds.
  2. If resistance is less than 100 ohms, replace sensor.
Fig 1: Code 23, Circuit Wiring Diagram & Flow Chart
G121694Courtesy of GENERAL MOTORS CORP.