lemon-mirror:
Home >> Geo >> 1991 >> Tracker LSi, Automatic >> Repair and Diagnosis >> Engine Performance >> System >> Engine Controls - Tests W/Codes >> Diagnostic Code Charts >> Diagnostic Aids

Diagnostic Aids

Ensure to check connectors for corrosion and bent terminals.

Fig 1: Flow Chart A1, No Check Engine Light
G91I16863Courtesy of GENERAL MOTORS CORP.
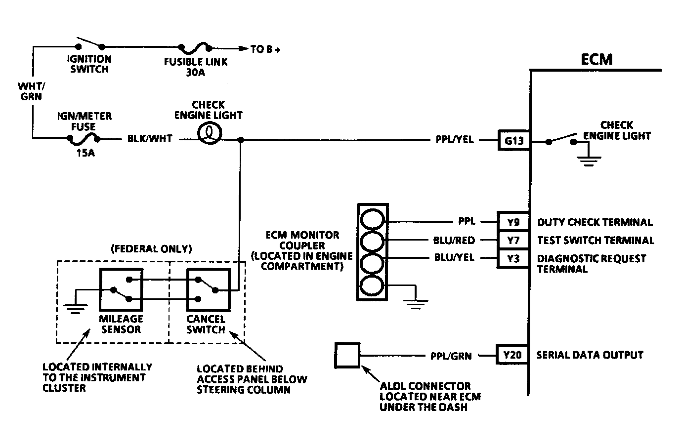
Fig 2: Chart A1 Schematic, No Check Engine Light3
G91H16862Courtesy of GENERAL MOTORS CORP.


Normal O2 sensor voltage is .1-.9 volt (varying) in closed loop operation. An open in O2 sensor signal circuit, or ground, will cause Code 13 to set. If Code 13 is intermittent, refer to TESTS W/O CODES article in the ENGINE PERFORMANCE Section. Before replacing an ECM, ensure ECM connector is not damaged.

Fig 1: Code 13 Flow Chart, O2 Sensor Ckt./Open Ckt.
G91C16867Courtesy of GENERAL MOTORS CORP.
Fig 2: Code 13 Schematic, O2 Sensor Ckt./Open Ckt.
G91B16866Courtesy of GENERAL MOTORS CORP.


After engine is started, temperature should rise steadily to approximately 203°F (95°C), then level off when thermostat opens.

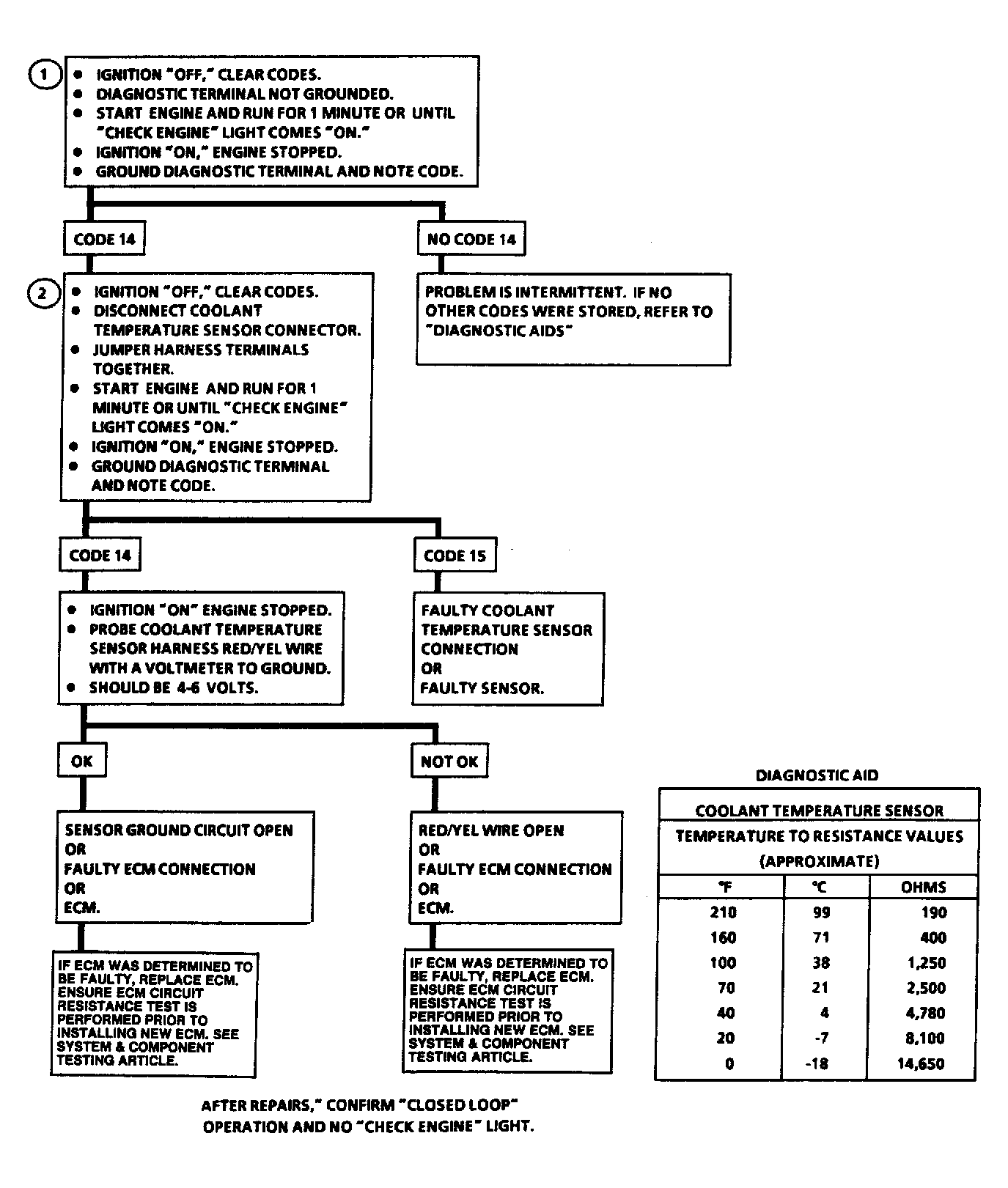
If Codes 14 and 21 are stored at the same time, there could be an open in Gray/Yellow wire. An out-of-calibration CTS may cause poor driveability. Use temperature and resistance values of CTS from COOLANT TEMPERATURE SENSOR RESISTANCE table to check for an out-of-calibration sensor. If code is intermittent, refer to TESTS W/O CODES article in the ENGINE PERFORMANCE Section.

COOLANT TEMPERATURE SENSOR RESISTANCE

Temperature °F (°C) Ohms
210 (99) 190
160 (71) 400
100 (38) 1250
70 (21) 2500
40 (4) 4780
20 (-7) 8100
0 (-18) 14,650
Fig 1: Code 14 Flow Chart, CTS Ckt./Low Temp. Indicated
G91E16869Courtesy of GENERAL MOTORS CORP.
Fig 2: Code 14 Schematic, CTS Ckt./Low Temp. Indicated
G91D16868Courtesy of GENERAL MOTORS CORP.


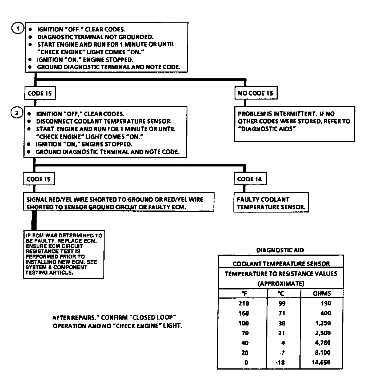
Check vehicle wiring harness for a potential short to ground in Red/Yellow wire. After engine is started, temperature should rise steadily to approximately 194°F (90°C), then level off when thermostat opens. Ensure engine is not overheating, or subjected to conditions such as trailer towing and heavy stop-and-go traffic, which can cause engine to run too hot. An out-of-calibration sensor may cause poor driveability. Use temperature and resistance values of CTS from COOLANT TEMPERATURE SENSOR RESISTANCE table to check for out-of-calibration sensor. If code is intermittent, refer to TESTS W/O CODES article in the ENGINE PERFORMANCE Section.

COOLANT TEMPERATURE SENSOR RESISTANCE

Temperature °F (°C) Ohms
210 (99) 190
160 (71) 400
100 (38) 1250
70 (21) 2500
40 (4) 4780
20 (-7) 8100
0 (-18) 14,650
Fig 1: Code 15 Flow Chart, CTS Sensor Ckt./High Temp. Indicated
G91I16871Courtesy of GENERAL MOTORS CORP.
Fig 2: Code 15 Schematic, CTS Sensor Ckt./High Temp. Indicated
G91D16868Courtesy of GENERAL MOTORS CORP.


A misadjusted TPS can cause a false Code 21 or 22 to set. See I - SYS/COMP TESTS article in the ENGINE PERFORMANCE Section. A faulty connection can cause an intermittent code to set. If code is intermittent, refer to TESTS W/O CODES article in the ENGINE PERFORMANCE Section.

Fig 1: Code 21 Flow Chart, TPS Ckt./Signal Voltage High
G91F16951Courtesy of GENERAL MOTORS CORP.
Fig 2: Code 21 Schematic, TPS Ckt./Signal Voltage High
G91E16950Courtesy of GENERAL MOTORS CORP.


A misadjusted TPS can cause a false Code 21 or 22 to set. See I - SYS/COMP TESTS article in the ENGINE PERFORMANCE Section. A faulty connection can cause an intermittent code to set. If code is intermittent, refer to TESTS W/O CODES article in the ENGINE PERFORMANCE Section.

Fig 1: Code 22 Flow Chart, TPS Ckt/Signal Voltage Low
G91H16953Courtesy of GENERAL MOTORS CORP.
Fig 2: Code 22 Schematic, TPS Ckt/Signal Voltage Low
G91E16950Courtesy of GENERAL MOTORS CORP.


If speedometer cable is binding, a false Code 24 may set. A loose connection at instrument panel can set an intermittent Code 24. If code is intermittent, see TESTS W/O CODES article in the ENGINE PERFORMANCE Section. If no trouble is found but Code 42 resets, replace ECM.

Fig 1: Code 24 Flow Chart, Vehicle Speed Sensor Ckt.
G91B16957Courtesy of GENERAL MOTORS CORP.
Fig 2: Code 24 Schematic, Vehicle Speed Sensor Ckt.
G91A16956Courtesy of GENERAL MOTORS CORP.


A loose connection causes Code 41 to set. Visually inspect all connections to ensure this is not a false code.

Fig 1: Code 41 Flow Chart, Ignition Signal Ckt./No Signal
G91B16965Courtesy of GENERAL MOTORS CORP.
Fig 2: Code 41 Schematic, Ignition Signal Ckt./No Signal
G91A16964Courtesy of GENERAL MOTORS CORP.