lemon-mirror:
Home >> Honda >> 1994 >> Prelude VTEC >> Repair and Diagnosis >> Engine Performance >> System >> Engine Controls - Tests W/Codes >> Diagnostic Trouble Code Charts >> Code 15 - Ignition Output Signal

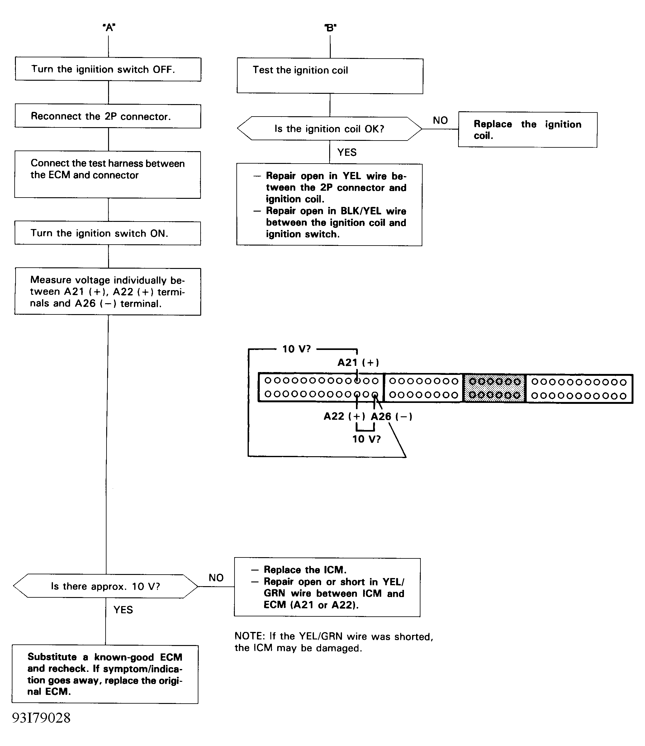
Code 15 - Ignition Output Signal

Fig 1: Code 15 Flow Chart (1 Of 2) Ignition Output Signal
G93F79025
Fig 2: Code 15 Flow Chart (2 Of 2) Ignition Output Signal
G93I79028