lemon-mirror:
Home >> Hyundai >> 2004 >> Accent GT, Automatic >> Repair and Diagnosis >> Transmission >> Automatic Trans >> Automatic Transaxle System >> Inspection Of Electronic Control System Components >> Notes

Inspection Of Electronic Control System Components: Notes

Fig 1: Inspecting Electronic Control System Components (1 Of 7)
G00336103Courtesy of HYUNDAI MOTOR CO.
Fig 2: Inspecting Electronic Control System Components (2 Of 7)
G00336104Courtesy of HYUNDAI MOTOR CO.
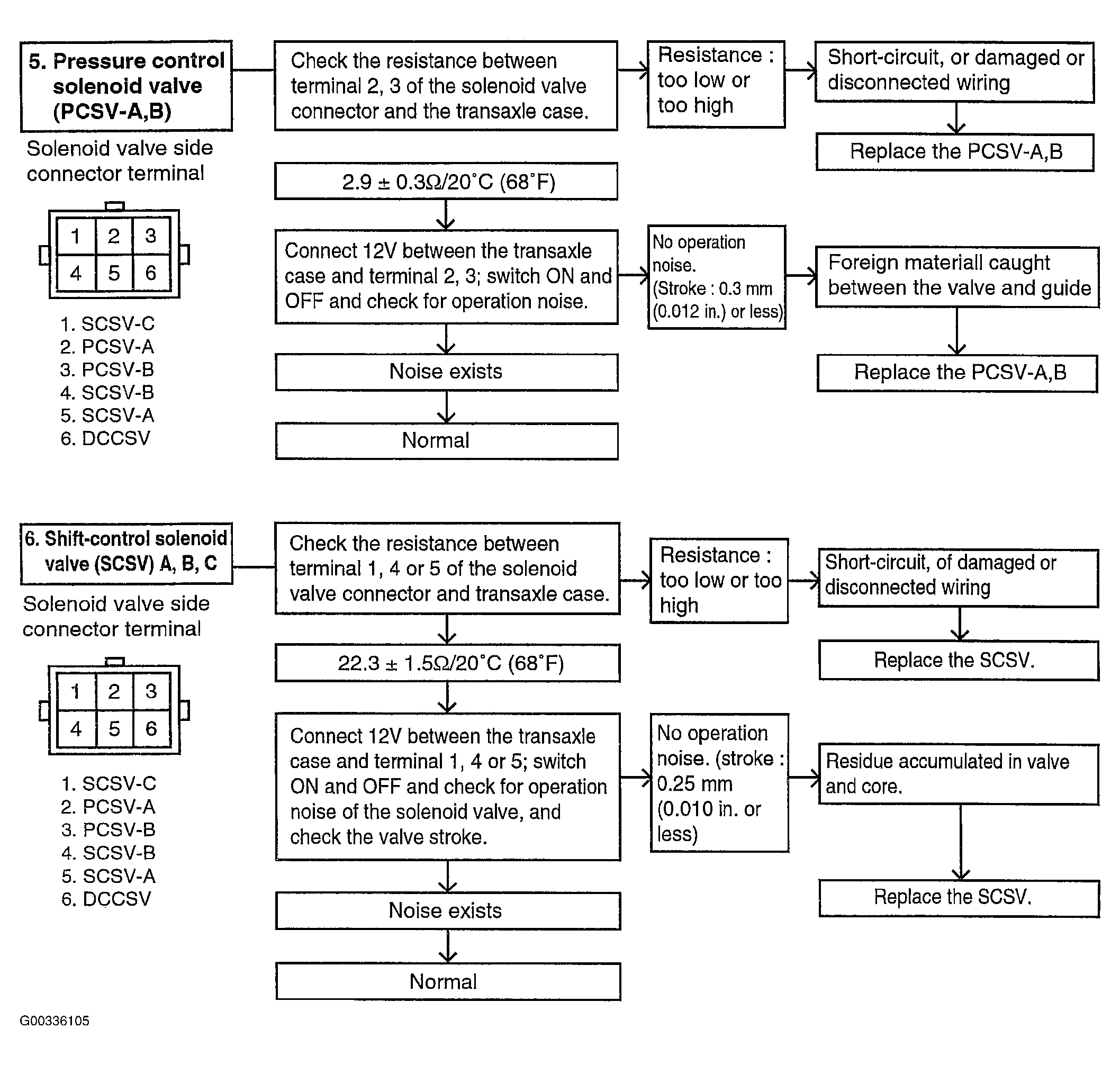
Fig 3: Inspecting Electronic Control System Components (3 Of 7)
G00336105Courtesy of HYUNDAI MOTOR CO.
Fig 4: Inspecting Electronic Control System Components (4 Of 7)
G00336106Courtesy of HYUNDAI MOTOR CO.
Fig 5: Inspecting Electronic Control System Components (5 Of 7)
G00336107Courtesy of HYUNDAI MOTOR CO.
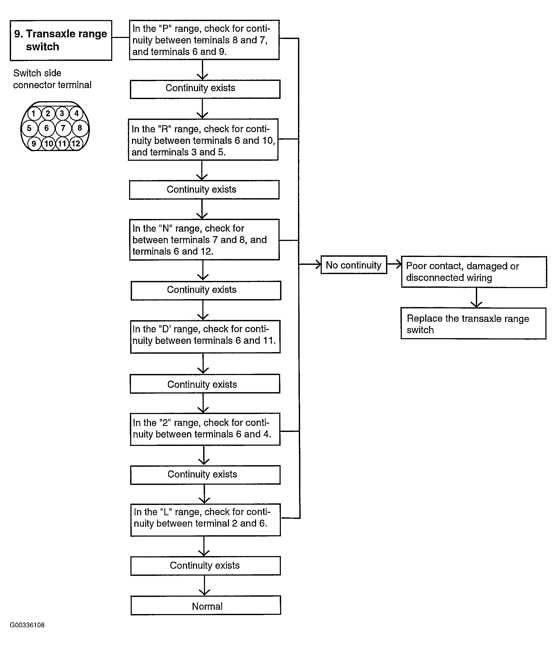
Fig 6: Inspecting Electronic Control System Components (6 Of 7)
G00336108Courtesy of HYUNDAI MOTOR CO.
Fig 7: Inspecting Electronic Control System Components (7 Of 7)
G00336109Courtesy of HYUNDAI MOTOR CO.