lemon-mirror:
Home >> Infiniti >> 1995 >> Q45 Base >> Repair and Diagnosis >> Body & Frame >> Body, Cab Control Systems >> Multiplex Control System >> Trouble Shooting

Trouble Shooting

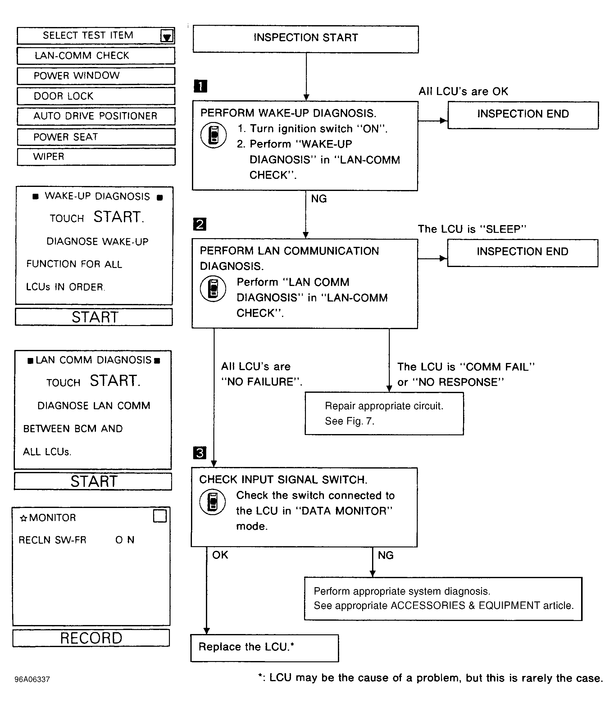
NOTE: Wake-up control mode can only be diagnosed using Nissan CONSULT.
  1. Verify customer's complaint and try to duplicate malfunction(s). If malfunction(s) can be easily duplicated, go to next step. If malfunction(s) is difficult to duplicate, test system's wake-up function for each Local Control Unit (LCU). See WAKE-UP MODE DIAGNOSTICS chart under DIAGNOSTIC CHARTS. See Figure . If system tests okay, go to next step. If system does not test okay, repair or replace component(s) as necessary.
  2. Perform LAN system communication test. See LAN COMMUNICATION CHECK under NISSAN CONSULT DIAGNOSTICS  or MODE I (LAN COMMUNICATION) under ON-BOARD DIAGNOSTICS  . If no trouble codes exist, go to next step. If trouble codes exist, repair or replace component(s) as instructed. Repeat step 2) until all trouble codes are fixed. If all trouble codes have been fixed, verify system is operating properly.
  3. Perform appropriate inspection and/or tests according to symptom(s). Repair or replace component(s) as necessary. Verify system is operating properly. Repeat step 3), as necessary, until all malfunction(s) are repaired and system operates properly.