lemon-mirror:
Home >> Infiniti >> 2002 >> Q45 >> Repair and Diagnosis >> Body & Frame >> Door Locks >> Electronic Key System >> Work Flow

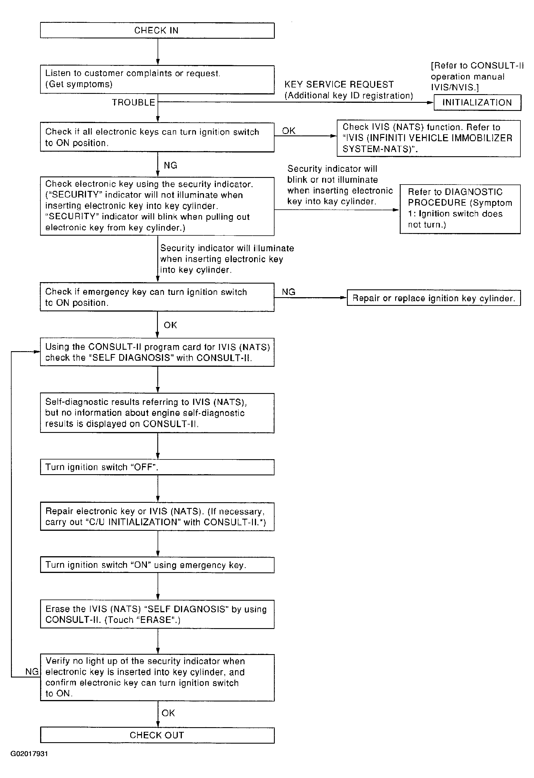
Work Flow

Fig 1: Trouble Diagnosis Work Flow Chart
G02017931Courtesy of NISSAN MOTOR CO., U.S.A.