lemon-mirror:
Home >> Infiniti >> 2003 >> G35 2D Coupe, Automatic >> Repair and Diagnosis >> Engine Performance >> System >> Engine Controls - Self-Diagnostics >> Scan Tool Usage >> Consult-II >> Data Monitor Mode Reference Values

Data Monitor Mode Reference Values

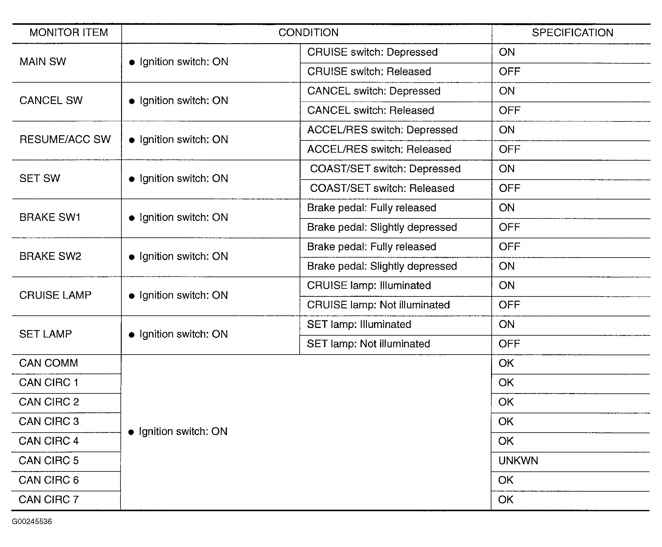
Reference values are normal values for components monitored by scan tool. For scan tool reference values, see Fig 1 -Fig 4 .

Fig 1: Data Monitor Mode Reference Values (1 Of 4)
G00245533Courtesy of NISSAN MOTOR CO., U.S.A.
Fig 2: Data Monitor Mode Reference Values (2 Of 4)
G00245534Courtesy of NISSAN MOTOR CO., U.S.A.
Fig 3: Data Monitor Mode Reference Values (3 Of 4)
G00245535Courtesy of NISSAN MOTOR CO., U.S.A.
Fig 4: Data Monitor Mode Reference Values (4 Of 4)
G00245536Courtesy of NISSAN MOTOR CO., U.S.A.