lemon-mirror:
Home >> Infiniti >> 2004 >> FX45 >> Repair and Diagnosis >> Engine Performance >> Engine Control System >> Index For DTC >> Alphabetical Index

Alphabetical Index

NOTE: If DTC U1000 or U1001 is displayed with other DTC's, first perform the trouble diagnosis for DTC U1000, U1001. Refer to DTC U1000, U1001 CAN COMMUNICATION LINE  .
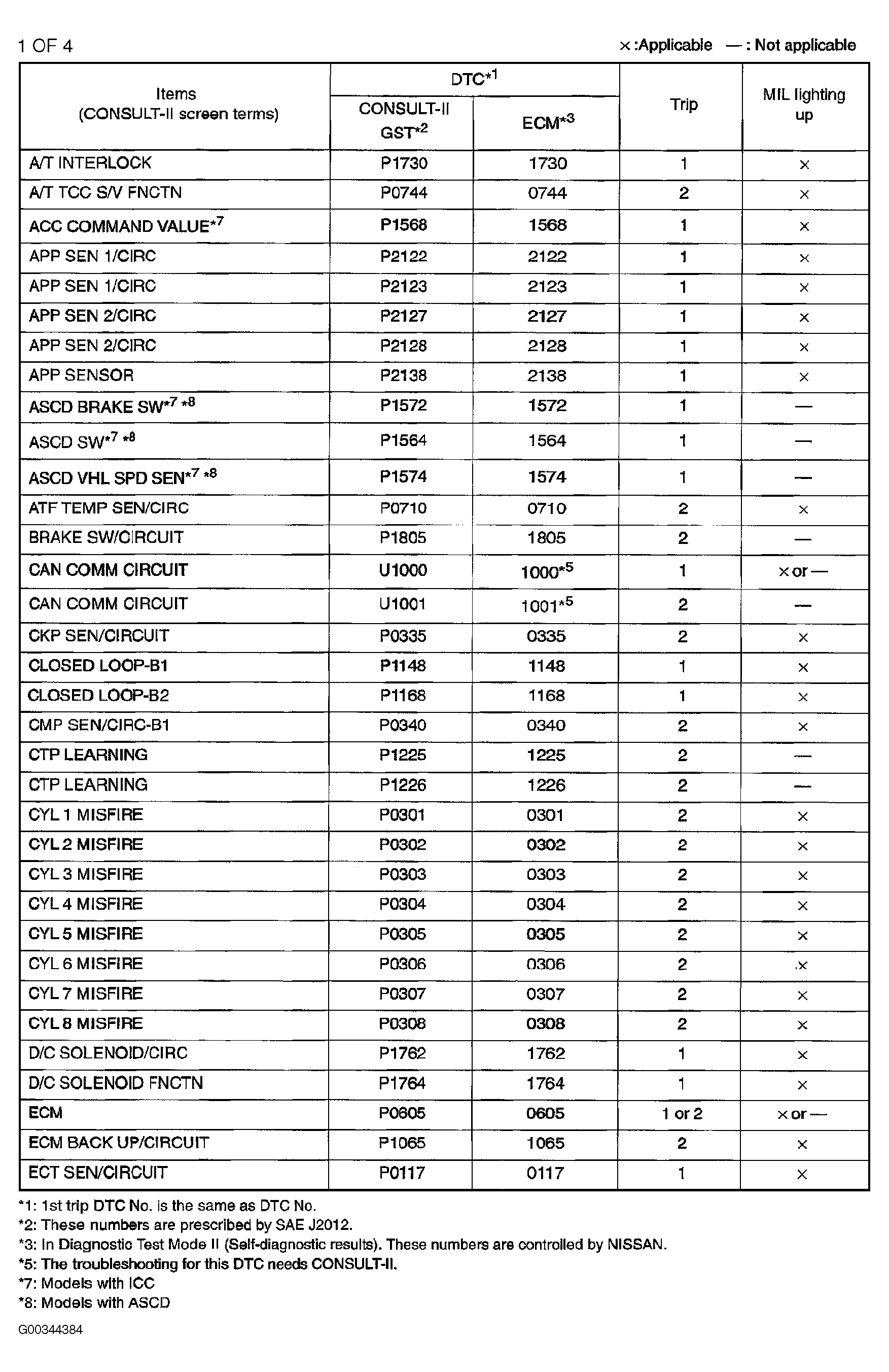
Fig 1: Identifying DTC's By Alphabetically (1 Of 4)
G00344384Courtesy of NISSAN MOTOR CO., U.S.A.
Fig 2: Identifying DTC's By Alphabetically (2 Of 4)
G00344385Courtesy of NISSAN MOTOR CO., U.S.A.
Fig 3: Identifying DTC's By Alphabetically (3 Of 4)
G00344386Courtesy of NISSAN MOTOR CO., U.S.A.
Fig 4: Identifying DTC's By Alphabetically (4 Of 4)
G00344387Courtesy of NISSAN MOTOR CO., U.S.A.