lemon-mirror:
Home >> Infiniti >> 2009 >> FX50 >> Repair and Diagnosis >> Electrical >> Body Electrical >> Power Distribution System >> Basic Inspection >> Diagnosis And Repair Work Flow >> Work Flow >> Overall Sequence

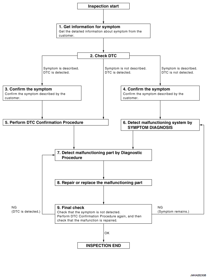
Overall Sequence

Fig 1: Diagnosis And Repair Work Flow Chart
G05975971Courtesy of NISSAN MOTOR CO., U.S.A.