lemon-mirror:
Home >> Infiniti >> 2010 >> FX50 >> Repair and Diagnosis >> Restraints >> Restraints Control Systems >> Seat Belt Control System >> Basic Inspection >> Diagnosis And Repair Workflow >> Work Flow

Work Flow

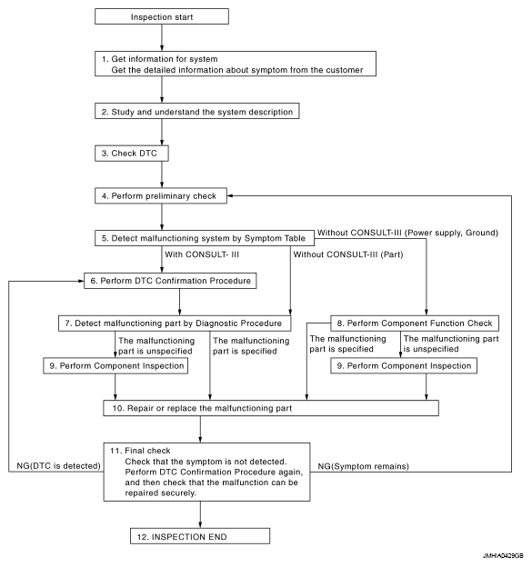
Fig 1: Diagnosis And Repair Work Flow Diagram
G05735295Courtesy of NISSAN MOTOR CO., U.S.A.
  1. GET INFORMATION FOR SYSTEM 

    Interview the customer to obtain the malfunction information (conditions and environment when the malfunction occurred) as much as possible when the customer brings the vehicles in.

    GO TO  2.

  2. STUDY AND UNDERSTAND THE SYSTEM DESCRIPTION 

    Understand the operation condition or non-operation condition of pre-crash seat belt. Refer to SYSTEM DESCRIPTION .

    GO TO  3.

  3. CHECK DTC 

    Perform "Self-diagnosis procedure" of appropriate DTC to check if DTC is detected again.

    At this time, always connect CONSULT-III to the vehicle, and then check the diagnosis results in real time on "DATA MONITOR (AUTO RECORD)".

    There is no priority for each DTC. Record them based on the following rules.

    Current malfunction: Record all DTCs detected.

    Past malfunction: Record up to 5 DTCs. When the 6th DTC is detected, it is overwritten to the first recorded DTC.

    Is DTC detected? 

    YES: GO TO  4.

    NO: Follow the diagnosis simulation test to check. Refer to INTERMITTENT INCIDENT .

  4. PERFORM PRELIMINARY CHECK 

    Perform Pre-Diagnosis Inspection. Refer to DESCRIPTION .

    GO TO  5.

  5. DETECT MALFUNCTIONING SYSTEM BY SYMPTOM DIAGNOSIS 

    Detect malfunctioning system according to SYMPTOM DIAGNOSIS based on the confirmed symptom in step 4, and determine the trouble diagnosis order based on possible causes and symptom.

    With CONSULT-III: GO TO  6.

    Without CONSULT-III: GO TO  7 (Parts system).

    Without CONSULT-III: GO TO  8 (Power supply, ground system).

  6. PERFORM DTC CONFIRMATION PROCEDURE 

    Perform the inspection with "DTC REPRODUCTION PROCEDURE" of the applicable system.

    GO TO  7.

  7. DETECT MALFUNCTIONING PART BY DIAGNOSTIC PROCEDURE 

    Identify the malfunctioning part with "Diagnosis Procedure".

    Are malfunctioning parts detected? 

    YES: GO TO  10.

    NO: GO TO  9.

  8. PERFORM COMPONENT FUNCTION CHECK 

    Identify the malfunctioning part with "Component Parts Function Inspection".

    Are malfunctioning parts detected? 

    YES: GO TO  10.

    NO: GO TO  9.

  9. PERFORM COMPONENT INSPECTION 

    Perform the inspection with "Component Parts Inspection".

    GO TO  10.

  10. REPAIR OR REPLACE THE MALFUNCTIONING PART 

    Repair or replace the specified malfunctioning parts.

    GO TO  11.

  11. FINAL CHECK 

    Perform "CONSULT-III function" again to check that the repair is performed correctly.

    Check that malfunctions are not reproduced when obtaining the malfunction information from the customer, referring to the symptom inspection result in step 4.

    Are all malfunctions corrected? 

    YES:

    • Before delivering the vehicle to the customer, check that DTC is erased.
    • INSPECTION END

      NO: DTC is reproduced: GO TO  6.