lemon-mirror:
Home >> Infiniti >> 2011 >> EX35 Base, RWD >> Repair and Diagnosis >> Electrical >> Body Electrical >> Power Control System >> Power Distribution System >> Basic Inspection >> Diagnosis And Repair Work Flow >> Work Flow >> Overall Sequence

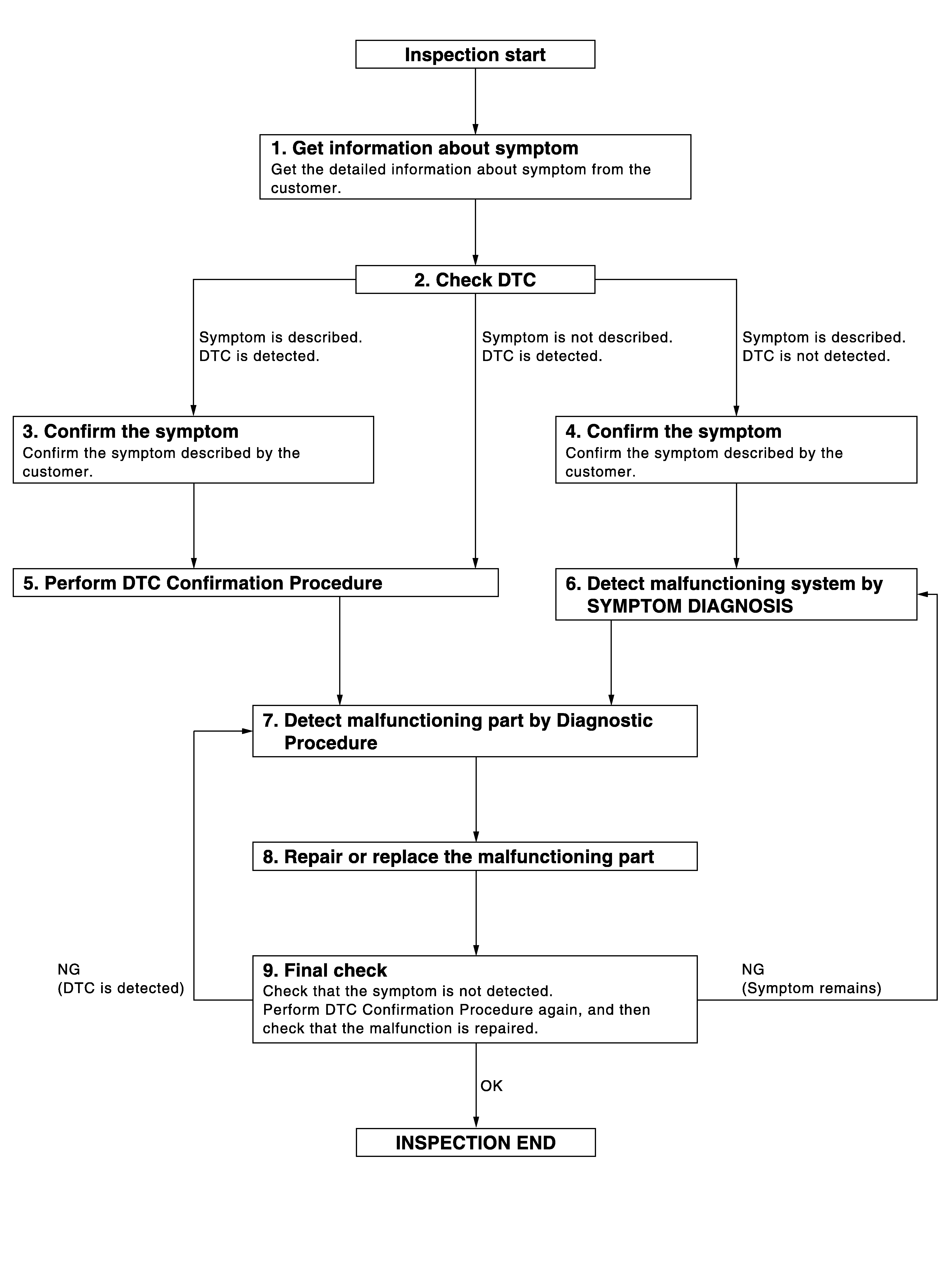
Overall Sequence

Fig 1: Diagnosis And Repair Work Flow Chart
G05916385Courtesy of NISSAN MOTOR CO., U.S.A.