lemon-mirror:
Home >> Isuzu >> 1989 >> Impulse 2.0 F, Automatic >> Repair and Diagnosis >> Engine Performance >> System >> Tests W/Codes >> Diagnostic Circuit Check >> Code 13 - Oxygen (O2) Sensor Circuit

Code 13 - Oxygen (O2) Sensor Circuit

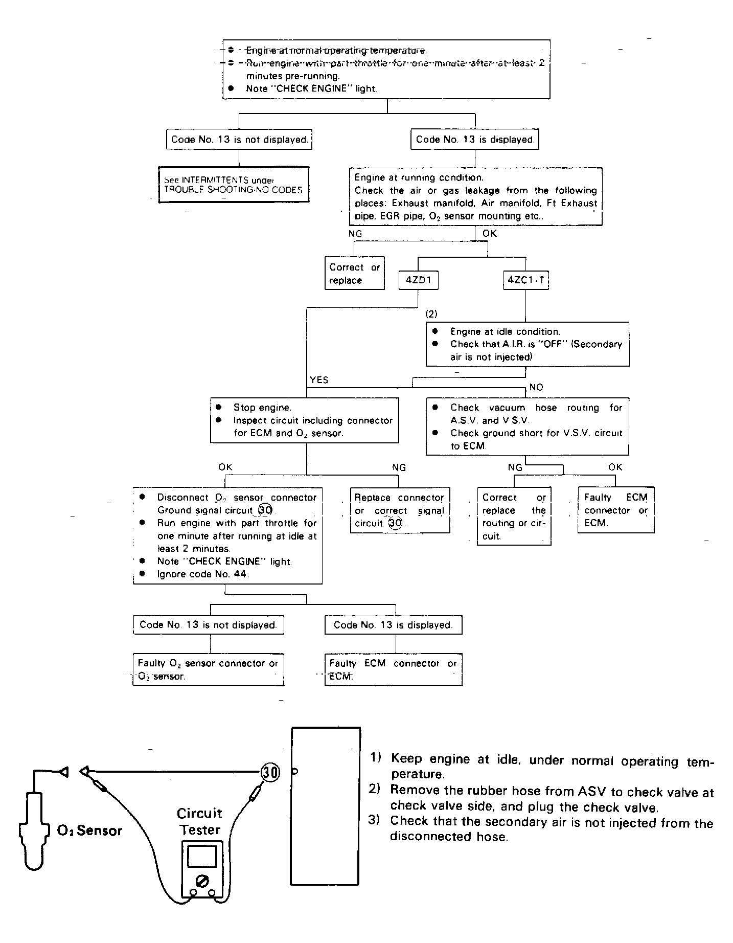
Fig 1: Flow Chart - Code 13, Oxygen Sensor Circuit
G122268Courtesy of ISUZU MOTOR CO.