lemon-mirror:
Home >> Isuzu >> 1992 >> Trooper LS, Automatic >> Repair and Diagnosis >> Engine Performance >> System >> Engine Controls - Tests W/Codes >> Code Charts >> Code 32 - EGR System >> Diagnostic Aids

Diagnostic Aids

A sluggish oxygen sensor can cause a false Code 32 to set. If EGR valve passage is restricted, a Code 32 may set.

Fig 1: Code 32 Schematic - EGR System
G92G26902Courtesy of ISUZU MOTOR CO.
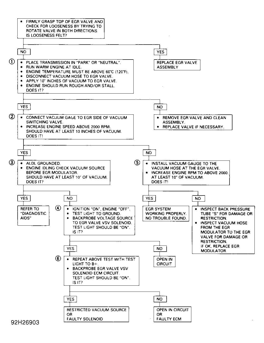
Fig 2: Code 32 Flow Chart - EGR System
G92H26903Courtesy of ISUZU MOTOR CO.