lemon-mirror:
Home >> Jeep >> 1990 >> Wrangler Laredo, Automatic >> Repair and Diagnosis >> Engine Performance >> System >> Engine Controls - System/Component Tests - CARBURETED >> Fuel Control

Fuel Control

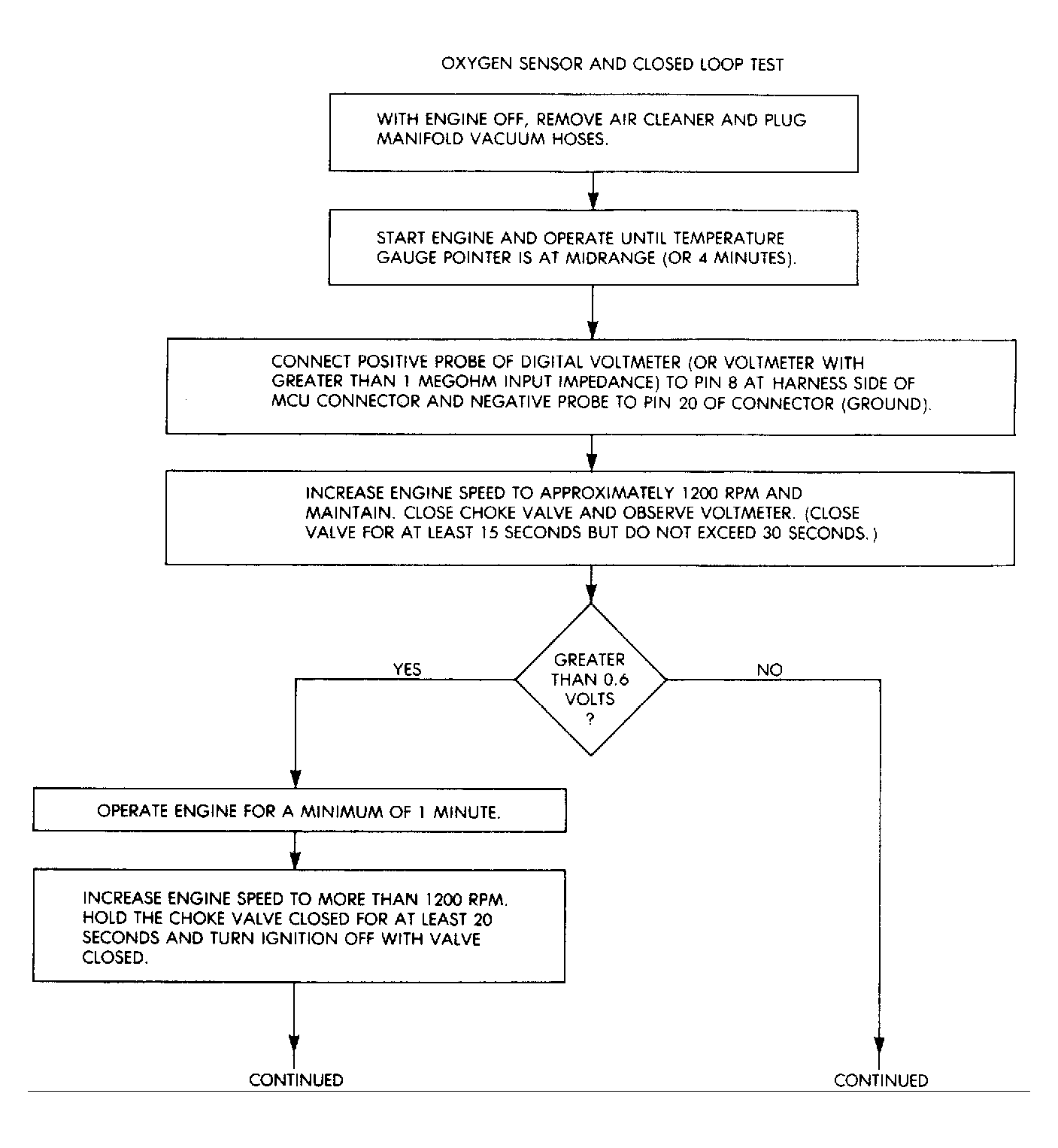
For fuel control testing on 4.2L, see OPEN LOOP and CLOSED LOOP tests. See Figure -Figure and Figure -Figure . Fuel control on 5.9L engine is regulated through mechanical adjustments. See ADJUSTMENTS article.