lemon-mirror:
Home >> Jeep >> 2022 >> Compass Red >> Repair and Diagnosis >> Electrical >> Charging Systems >> Charging System (Service Information) >> Description And Operation >> Notes

Description And Operation: Notes

DESCRIPTION 

GC0179290Courtesy of CHRYSLER GROUP, LLC

The charging system consists of the following components:

COMPONENT INDEX

1. Refer to GENERATOR .
2. Refer to BODY CONTROL MODULE (BCM) .
3. Refer to INTELLIGENT BATTERY SENSOR (IBS) .
4. Refer to POWERTRAIN CONTROL MODULE (PCM)  with internal Electronic Voltage Regulator (EVR).

OPERATION 

The PCM uses the Generator field duty cycle signal circuit or F-terminal circuit, to monitor the duty cycle of the generator. The Generator field duty cycle signal circuit connects to high side of the field windings in the Generator. A Pulse Width Modulated (PWM) high side driver in the voltage regulator turns the field windings ON and OFF. The PCM uses the PWM signal input to determine the Generator load on the engine. This allows the PCM to adjust the idle speed to compensate for high electrical loads. The PCM monitors the status of the generator field duty cycle signal circuit. When the key is in the RUN position and the engine is OFF, the PCM should detect a duty cycle near 0 percent. However, when the engine is running, the duty cycle should be between 5-95 percent.

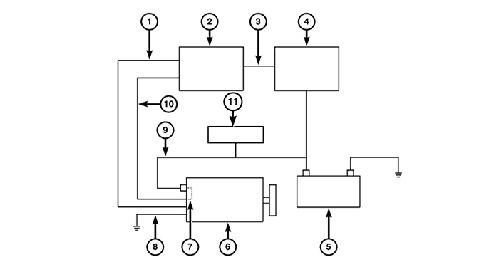
GC0173434Courtesy of CHRYSLER GROUP, LLC
1 - Generator Field Circuit
2 - PCM
3 - Battery Sense Input
4 - Power Distribution Center (PDC)
5 - Battery
6 - Generator
7 - Resistor (Gasoline Engines Only)
8 - Generator Case Ground
9 - B(+) Circuit (Generator Output)
10 - B(+) Sense Circuit
11 - Starter

The charging system is turned on and off with the PCM (2) and ignition switch with engine running. The field circuit will not be energized until engine is running and ignition switch is on. This voltage is connected through the PCM (2) and supplied to the generator field circuit (1) at the back of the generator (6). The generator (6) is internally grounded through the generator case ground (8). The generator (6) regulates the field using Pin 1 of the field connector (High side driver).

The generator (6) is driven by the engine through a serpentine belt and pulley arrangement.

The PCM (2) receives a voltage input from the generator (6) via the B(+) sense circuit (10) and also a battery sense input (3) from the BCM (4), it then compares the voltages to the desired voltage programed in the EVR software and if there is a difference it sends a signal to the generator EVR circuit to increase or decrease output. It uses PWM to send signals to the generator circuitry to control the amount of output from the generator. The amount of DC current produced by the generator is controlled by the EVR circuitry contained within the PCM (2).

All vehicles are equipped with On-Board Diagnostics (OBD). All OBD systems, including EVR circuitry, are monitored by the PCM. Each monitored circuit is assigned a Diagnostic Trouble Code (DTC). The PCM will store a DTC in electronic memory for certain failures it detects.

Voltage is monitored at B(+) sense circuit (10) to insure the cable is connected. If the B(+) circuit (generator output) (9) cable is loose anywhere in the circuit the B(+) sense circuit (10) will show high voltage. This condition causes the PCM (2) to shut down the generator field circuit (1). Because of this feature, pin 2 of the field connector is internally connected to the B(+) circuit (9).