lemon-mirror:
Home >> Kia >> 2004 >> Amanti >> Repair and Diagnosis >> Engine Performance >> System >> Fuel System & Engine Control System >> General >> MPI Troubleshooting Procedures >> Engine Hesitates Or Accelerates Poorly

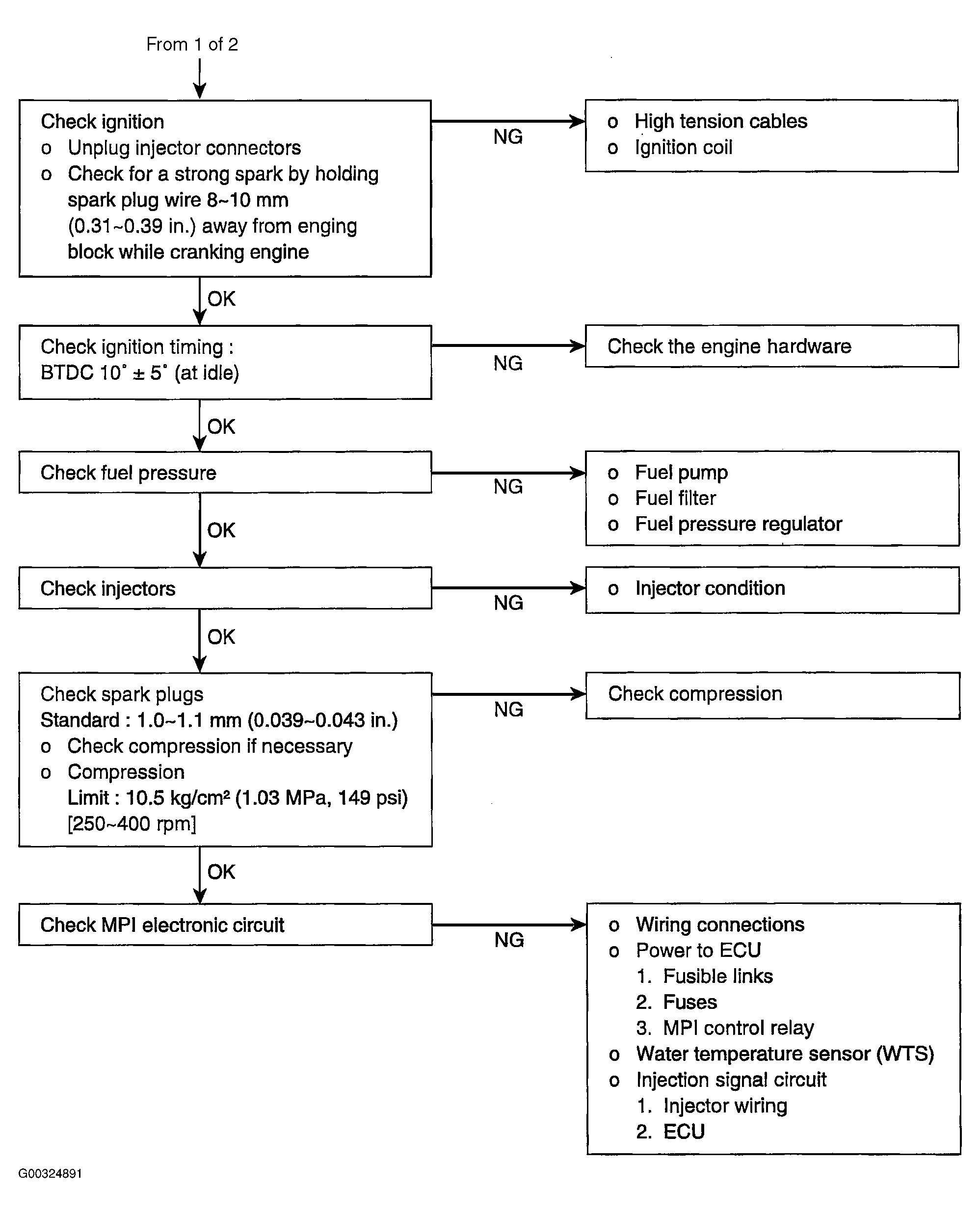
Engine Hesitates Or Accelerates Poorly

Fig 1: Engine Hesitates Or Accelerates Poorly Trouble Diagram (1 Of 2)
G00324890Courtesy of KIA MOTORS AMERICA, INC.
Fig 2: Engine Hesitates Or Accelerates Poorly Trouble Diagram (2 Of 2)
G00324891Courtesy of KIA MOTORS AMERICA, INC.