lemon-mirror:
Home >> Kia >> 2009 >> Rio Base, Automatic >> Repair and Diagnosis >> Transmission >> Automatic Trans >> Automatic Transaxle System >> Troubleshooting >> Notes

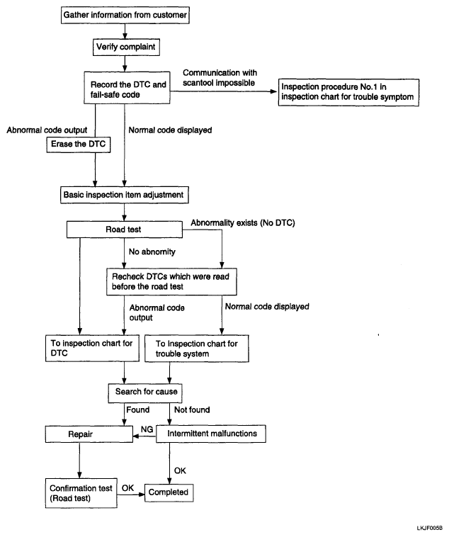
Automatic Transaxle System: Troubleshooting: Notes

Fig 1: Troubleshooting Flow Chart
G04862528Courtesy of KIA MOTORS AMERICA, INC.