lemon-mirror:
Home >> Kia >> 2021 >> Rio LX >> Repair and Diagnosis >> Steering >> Steering Column >> Motor Driven Power Steering System >> Repair Procedures >> A/S Repair Procedures >> MDPS System A/S Workflow

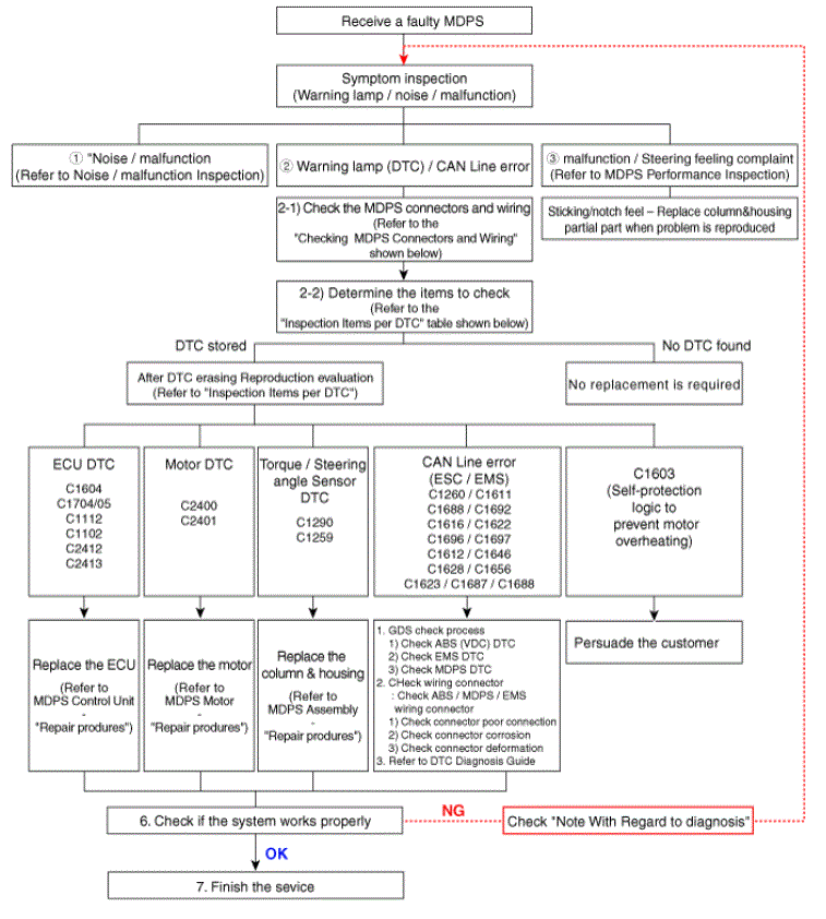
MDPS System A/S Workflow

G13705161Courtesy of KIA MOTORS AMERICA, INC.