lemon-mirror:
Home >> Kia >> 2021 >> Seltos EX >> Repair and Diagnosis >> Steering >> Steering Column >> Motor Driven Power Steering System >> Repair Procedures >> A/S Repair Procedures >> MDPS System A/S Workflow

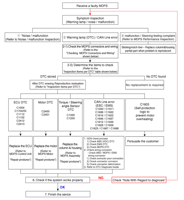
MDPS System A/S Workflow

G13481452Courtesy of KIA MOTORS AMERICA, INC.