System Testing
NOTE:
Unless specified otherwise, use a DVOM with a minimum input impedance of 10-megohms. For electrical component locations, see ELECTRICAL COMPONENT LOCATIONS under DESCRIPTION & OPERATION.
Identify symptom and perform corrective action as necessary. See appropriate SYSTEM TESTS INDEX & TROUBLE SHOOTING GUIDE.
SYSTEM TESTS INDEX & TROUBLE SHOOTING GUIDE
| Symptom | Action Or Fig. No. | |
|---|---|---|
| All Meters, Gauges & Lights | ||
| No Display At All | See Figure | |
| 4 Indicator Needles Do Not Illuminate | Replace Meter Computer | |
| One Indicator Needle Does Not Illuminate | See Figure | |
| Character Plate Does Not Illuminate | See Figure | |
| Character Plate Not Illuminated At One Or More Locations | See Figure | |
| Brightness Does Not Change With Lights In OFF Or TAIL | See Figure | |
| Brightness Does Not Change When Rheostat Is Turned | See Figure | |
| Brightness Remains Dim With Light Switch OFF | Replace Meter Computer | |
| Brightness Does Not Go Out When Starter Is Operated | See Figure | |
| Speedometer | ||
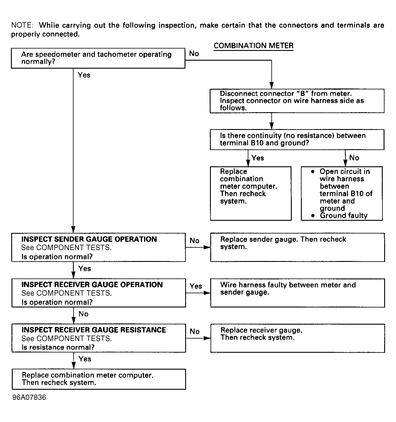
| Does Not Operate While Driving | See Figure | |
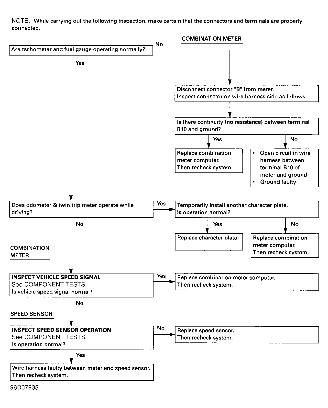
| Vehicle Speed Signal (4P) Faulty | See Figure | |
| Tachometer Does Not Operate While Engine Is Running | See Figure | |
| Fuel Gauge Does Not Operate Or Operation Is Abnormal | See Figure | |
| Fuel Level Warning Does Not Illuminate Or Always Illuminated | See Figure | |
| Engine Coolant Temp. Gauge Does Not Operate Or Operation Is Abnormal | See Figure | |
| Odometer & Twin Trip Meter | ||
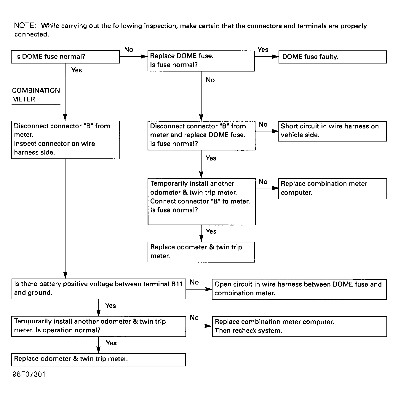
| Display Does Not Change While Driving | See Figure | |
| Display Does Not Reset When Reset Switch Pressed | See Figure | |
| Twin Trip Meter | ||
| Display Is Reset While Driving, Switch Not Pressed | See Figure | |
| Display Does Not Change When ODO/TRIP Switch Is Pressed | See Figure | |
| Display Is Reset When Ignition Turned Off | See Figure | |
| Abnormal Display | Replace Odo & Twin Trip Meter | |
| Abnormal Low Oil Press. Warning Operation Or Warning Does Not Illuminate | See Figure | |
| Abnormal Brake Warning Operation Or Warning Does Not Illuminate | See Figure | |
| Abnormal Light Failure Warning Operation Or Warning Does Not Illuminate | See Figure | |
| Abnormal Open Door Warning Operation Or Warning Does Not Illuminate | See Figure | |
| Abnormal Engine Oil Level Warning Operation Or Warning Does Not Illuminate | See Figure | |
| Abnormal Seat Belt Warning Chime Operation Or Chime Does Not Operate | See COMPONENT TESTS | |
| Abnormal SEAT BELT Warning Operation Or Warning Does Not Illuminate | See Figure | |
| Abnormal Turn Signal Indicator Operation Or Indicator Does Not Illuminate | See Figure | |
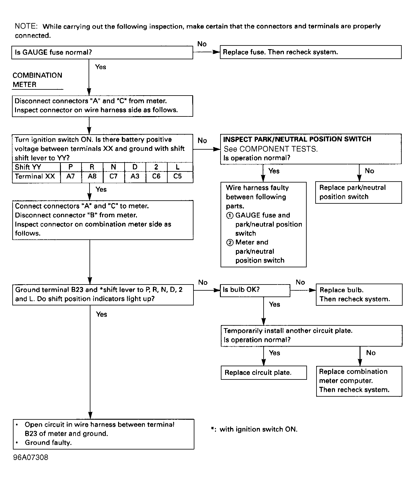
| Abnormal Shift Position Indicator Operation Or Indicator Does Not Illuminate | See Figure | |
| Abnormal Transmission PWR Indicator Operation Or Indicator Does Not Illuminate | See Figure | |
| Abnormal Malfunction Indicator Operation Or Indicator Does Not Illuminate | See Figure | |
| Abnormal ABS Warning Operation Or Warning Does Not Illuminate | See Figure | |
| Abnormal CRUISE Indicator Operation Or Indicator Does Not Illuminate | See Figure | |
| Abnormal O/D OFF Indicator Operation Or Indicator Does Not Illuminate | See Figure | |
| Abnormal SRS Warning Operation Or Warning Does Not Illuminate | See Figure | |
| Abnormal Discharge Warning Operation Or Warning Does Not Illuminate | See Figure | |
| Abnormal Hi-Beam Indicator Operation Or Indicator Does Not Illuminate | See Figure | |
| Abnormal Window Washer Warning Operation Or Warning Does Not Illuminate | See Figure | |
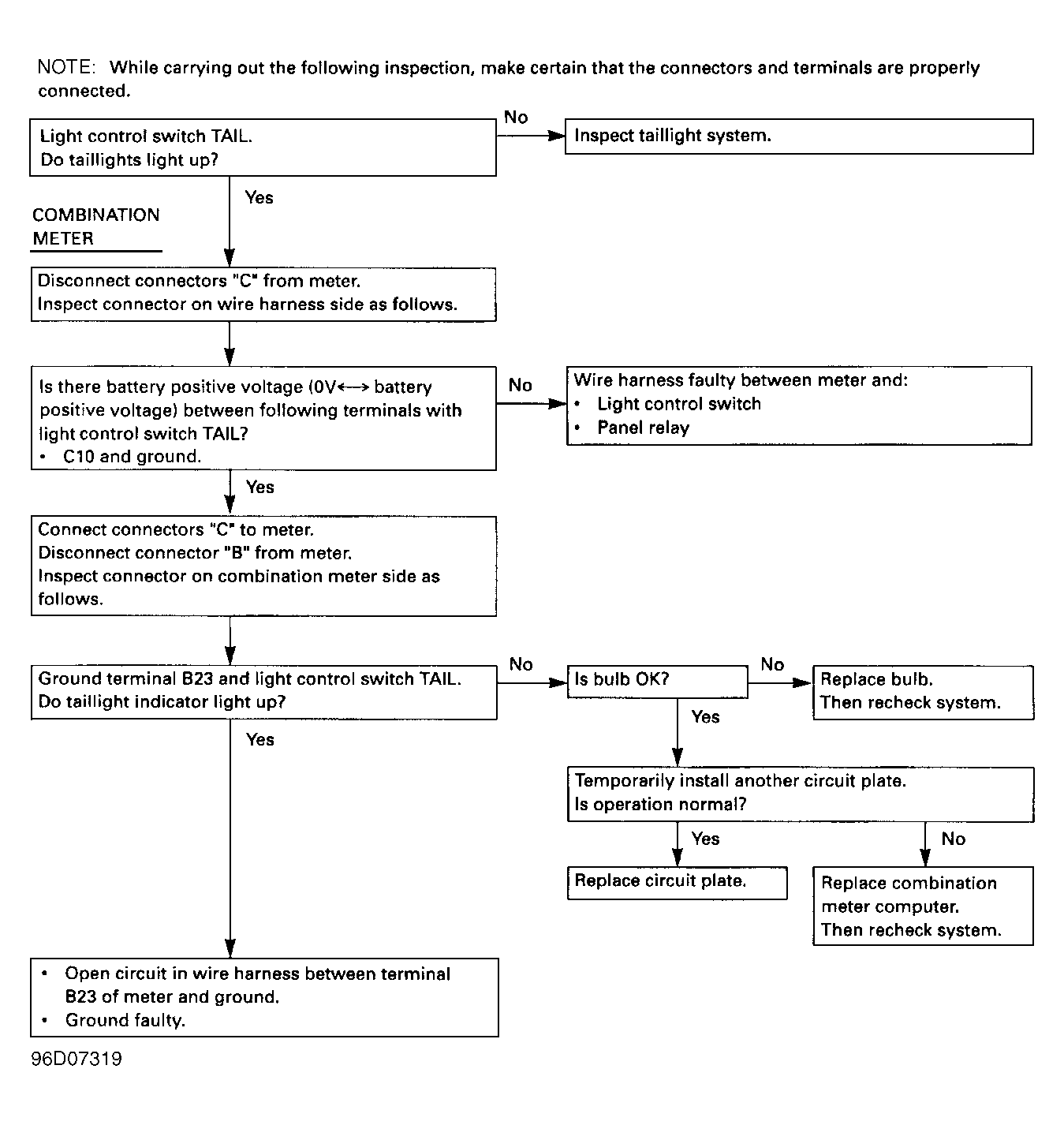
| Abnormal Taillight Indicator Operation Or Indicator Does Not Illuminate | See Figure | |
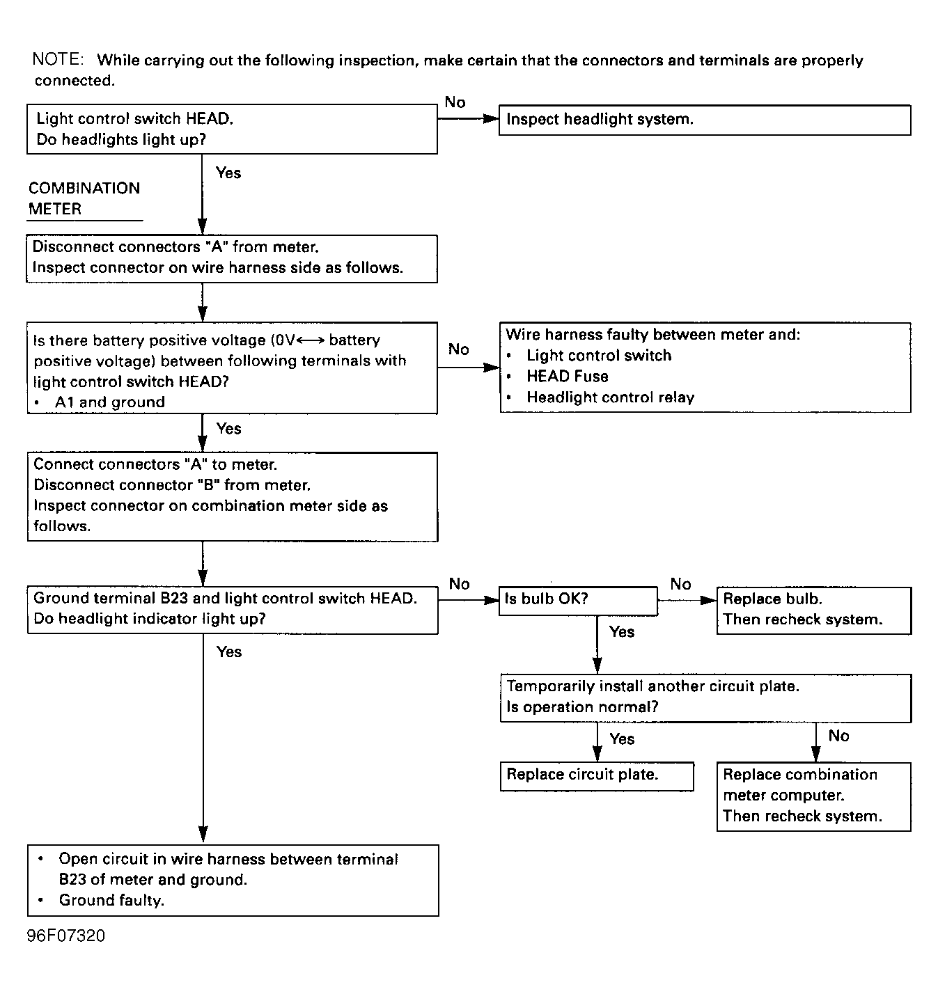
| Abnormal Headlight Indicator Operation Or Indicator Does Not Illuminate | See Figure | |