System Testing: Notes
WARNING:
To avoid electric shock when servicing instrument cluster, read SPECIAL WARNING under DESCRIPTION & OPERATION .
NOTE:
Unless specified otherwise, use a DVOM with a minimum input impedance of 10-megohms. For electrical component locations, see ELECTRICAL COMPONENT LOCATIONS under DESCRIPTION & OPERATION.
Identify symptom and perform corrective action as necessary. See SYSTEM TESTS INDEX & TROUBLE SHOOTING GUIDE TABLE .
SYSTEM TESTS INDEX & TROUBLE SHOOTING GUIDE
| Component | Symptom | Action Or Fig. No. |
|---|---|---|
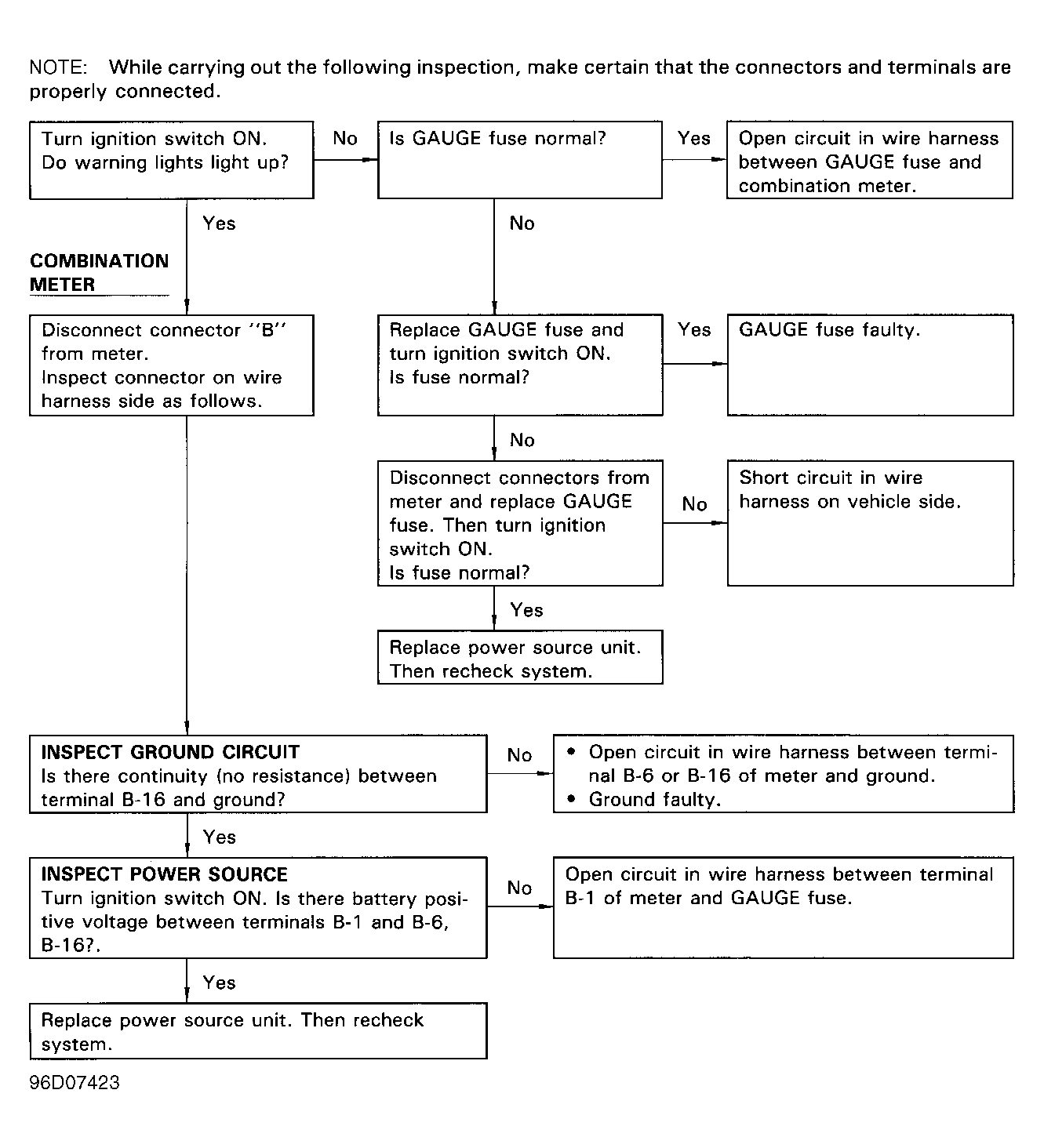
| All Meters, Gauges & Lights | No Display At All | See Figure |
| 4 Gauge Needles Do Not Illuminate | Replace Power Source Unit | |
| One Gauge Needles Do Not Illuminate | Replace Gauge Unit | |
| Character Plate Does Not Illuminate | Replace Power Source Unit | |
| Character Plate Illuminated On One Side | See Figure | |
| Twin Trip/ODO Meter Does Not Illuminate | See Figure | |
| Illumination Does Not Dim When Lights Are Turned On | See Figure | |
| Illumination Does Not Dim With Rheostat | See Figure | |
| Illumination Remains Dim | Replace Power Source Unit | |
| Does Not Go Out When Starter Is Operated | See Figure | |
| Speedometer | Does Not Operate While Driving | See Figure |
| Display Faulty | Replace Speedometer | |
| Tachometer | Does Not Operate While Engine Is Running | See Figure |
| Display Faulty | Replace Tachometer | |
| Fuel Gauge | Does Not Operate Or Operation Is Abnormal | See Figure |
| Fuel Level Warning | Does Not Operate | See Figure |
| Engine Coolant Temp. Gauge | Does Not Operate Or Operation Is Abnormal | See Figure |
| Twin Trip Meter | Display Does Not Reset When Reset Switch Pressed | See Figure |
| Display Is Reset While Driving, Switch Not Pressed | See Figure | |
| Display Does Not Change When Mode Switch Is Pressed | See Figure | |
| Display Does Not Alter During Driving | See Figure | |
| Abnormal Display | Replace Trip Meter | |
| Display Is Reset When Ignition Is Turned OFF | See Figure | |
| Odometer | Odometer Does Not Operate While Driving | See Figure |
| Engine Oil Level Warning | Warning Light Does Not Operate | See Figure |
| Warning Light Is Always On | See Figure | |
| HEIGHT Indicator | Abnormal Operation Or Indicator Does Not Illuminate | See Figure |
| PWR Indicator | Abnormal Operation Or Indicator Does Not Illuminate | See Figure |
| CRUISE MAIN Indicator | Abnormal Operation Or Indicator Does Not Illuminate | See Figure |
| OPEN DOOR Indicator | Abnormal Operation Or Indicator Does Not Illuminate | See Figure |
| Shift Position Indicator | Abnormal Operation Or Indicator Does Not Illuminate | See Figure |
| TRAC OFF Indicator | Abnormal Operation Or Indicator Does Not Illuminate | See Figure |
| ABS Warning | Abnormal Operation Or Warning Does Not Illuminate | See Figure |
| WASHER LEVEL Warning | Abnormal Operation Or Warning Does Not Illuminate | See Figure |
| SLIP Indicator | Abnormal Operation Or Indicator Does Not Illuminate | See Figure |
| SEAT BELT Warning | Abnormal Operation Or Warning Does Not Illuminate | See Figure |
| MALFUNCTION Indicator | Abnormal Operation Or Indicator Does Not Illuminate | See Figure |
| REAR LIGHTS Warning | Abnormal Operation Or Warning Does Not Illuminate | See Figure |
| LOW OIL PRESS. Warning | Abnormal Operation Or Warning Does Not Illuminate | See Figure |
| SRS Warning | Abnormal Operation Or Warning Does Not Illuminate | See Figure |
| DISCHARGE Warning | Abnormal Operation Or Warning Does Not Illuminate | See Figure |
| Hi-Beam Indicator | Abnormal Operation Or Indicator Does Not Illuminate | See Figure |
| Turn Signal Indicator | Abnormal Operation Or Indicator Does Not Illuminate | See Figure |
| Brake Pad Warning | Warning Light Always Illuminated | See Figure |
| BRAKE Warning | Abnormal Operation Or Warning Does Not Illuminate | See Figure |
| HEADLIGHT Indicator | Abnormal Operation Or Indicator Does Not Illuminate | See Figure |