System Testing: Notes
NOTE:
Unless specified otherwise, use a DVOM with a minimum input impedance of 10-megohms. For electrical component locations, see ELECTRICAL COMPONENT LOCATIONS under DESCRIPTION & OPERATION.
Identify symptom and perform corrective action as necessary. See appropriate SYSTEM TESTS INDEX & TROUBLE SHOOTING GUIDE table.
SYSTEM TESTS INDEX & TROUBLE SHOOTING GUIDE
| Component | Symptom | Action Or Fig. No. |
|---|---|---|
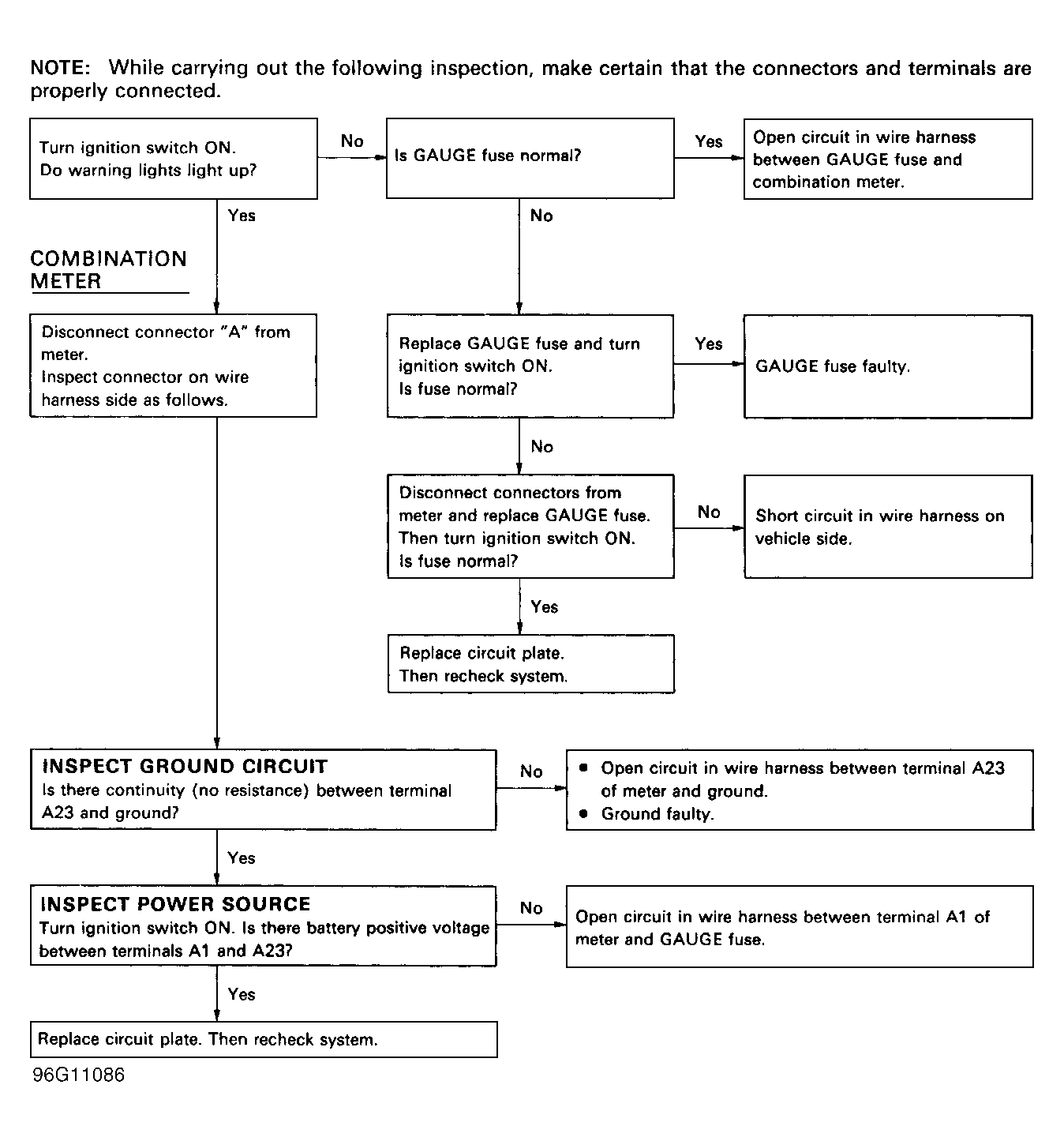
| All Meters, Gauges & Lights | No Display At All | See Figure |
| " | 4 Indicator Needles Do Not Illuminate | Replace Circuit Plate |
| " | One Indicator Needle Does Not Illuminate | See Figure |
| " | Entire Character Plate Does Not Illuminate | Replace Circuit Plate |
| " | Character Plate Not Illuminated At One Or More Locations | See Figure |
| " | Brightness Does Not Change With Lights In OFF Or TAIL | See Figure |
| " | Brightness Does Not Change When Rheostat Is Turned | See Figure |
| " | Brightness Remains Dim With Light Switch OFF | Replace Circuit Plate |
| " | Brightness Does Not Go Out When Starter Is Operated | See Figure |
| Speedometer | Does Not Operate While Driving | See Figure |
| " | Display Is Faulty | Replace Meter Lens |
| " | Vehicle Speed Signal (4P) Faulty | See Figure |
| Tachometer | Does Not Operate While Engine Is Running | See Figure |
| " | Display Is Faulty | Replace Meter Lens |
| Fuel Gauge | Does Not Operate Or Operation Is Abnormal | See Figure |
| Fuel Level Warning | Warning Does Not Illuminate Or Always Illuminated | See Figure |
| Engine Coolant Temp. Gauge | Does Not Operate Or Operation Is Abnormal | See Figure |
| Odometer & Twin Trip Meter | Display Does Not Change While Driving | See Figure |
| Twin Trip Meter | Display Is Reset When Ignition Turned Off | See Figure |
| " | Abnormal Display | Replace Odo & Twin Trip Meter |
| Outside Air Temp. Display | Abnormal Display | See Figure |
| Engine Oil Level Warning | Warning Does Not Illuminate | See Figure |
| " | Warning Always Illuminated | See Figure |
| Transmission PWR Indicator | Abnormal Operation Or Indicator Does Not Illuminate | See Figure |
| CRUISE MAIN Indicator | Abnormal Operation Or Indicator Does Not Illuminate | See Figure |
| O/D OFF Indicator | Abnormal Operation Or Indicator Does Not Illuminate | See Figure |
| Shift Position Indicator | Abnormal Operation Or Indicator Does Not Illuminate | See Figure |
| TRAC OFF Indicator | Abnormal Operation Or Indicator Does Not Illuminate | See Figure |
| ABS Warning | Abnormal Operation Or Warning Does Not Illuminate | See Figure |
| Hi-Beam Indicator | Abnormal Operation Or Indicator Does Not Illuminate | See Figure |
| Turn Signal Indicator | Abnormal Operation Or Indicator Does Not Illuminate | See Figure |
| Window Washer Warning | Abnormal Operation Or Warning Does Not Illuminate | See Figure |