lemon-mirror:
Home >> Lexus >> 2002 >> IS 300 Base, Automatic >> Repair and Diagnosis >> Body & Frame >> Door Locks >> Remote Keyless Entry >> Programming >> Remote Transmitter Recognition Code Registration

Remote Transmitter Recognition Code Registration

NOTE: When replacing the door lock control receiver and transmitter, registration of the recognition code is necessary because they are provided as single components.
  1. Select which mode should be performed from the following modes:
    • Add Mode -  The add mode is used to retain codes already registered while you register new recognition codes. This mode is used when adding a transmitter. However, if the number of registered codes exceed 4 codes, previously registered codes are correspondingly erased in order, starting from the first registered code.
    • Rewrite Mode -  The rewrite mode is used to erase all previously registered codes and register only new recognition codes.
    • Prohibition Mode -  The prohibition mode is used to erase all registered codes and cancels the wireless door lock function. Use this mode then the transmitter is lost.
    • Confirmation Mode -  The confirmation mode is for confirming how many recognition codes are already registered before you register additional recognition codes.
  2. NOTE: When the procedure is out of the specified, the operation returns to normal operation. A maximum of 4 recognition codes can be registered.
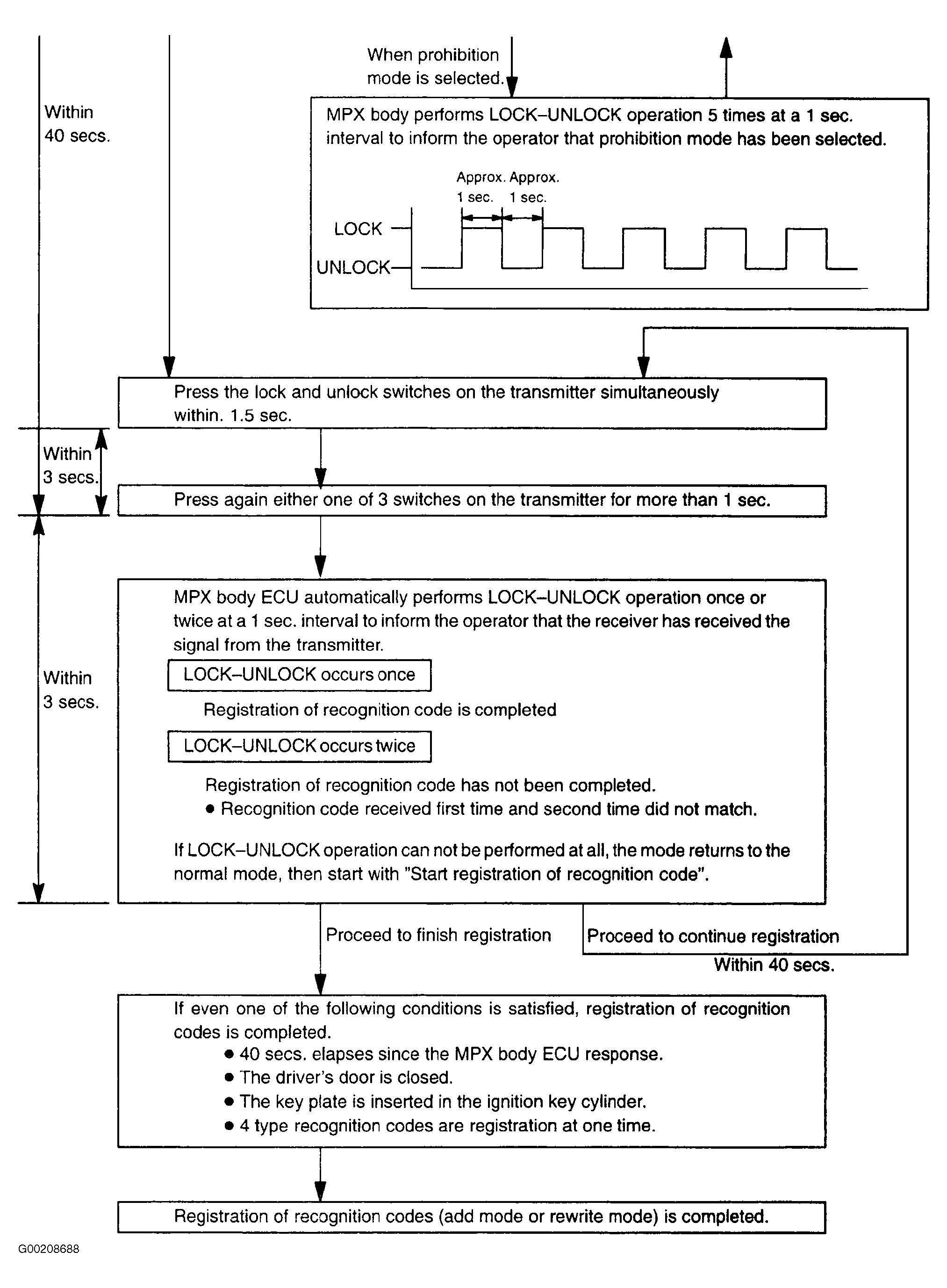
  3. Register the transmitter recognition code at the wireless door lock control receiver. See Fig 1-Fig 3 .
Fig 1: Identifying Recognition Code Registration Flowchart (1 Of 3)
G00196915Courtesy of © TOYOTA, LICENSE AGREEMENT TMS1002
Fig 2: Identifying Recognition Code Registration Flowchart (2 Of 3)
G00189843Courtesy of © TOYOTA, LICENSE AGREEMENT TMS1002
Fig 3: Identifying Recognition Code Registration Flowchart (3 Of 3)
G00208688Courtesy of © TOYOTA, LICENSE AGREEMENT TMS1002