lemon-mirror:
Home >> Lexus >> 2003 >> GS 430 >> Repair and Diagnosis >> Body & Frame >> Door Locks >> Wireless Door Lock Control System >> Pre-Check

Wireless Door Lock Control System: Pre-Check

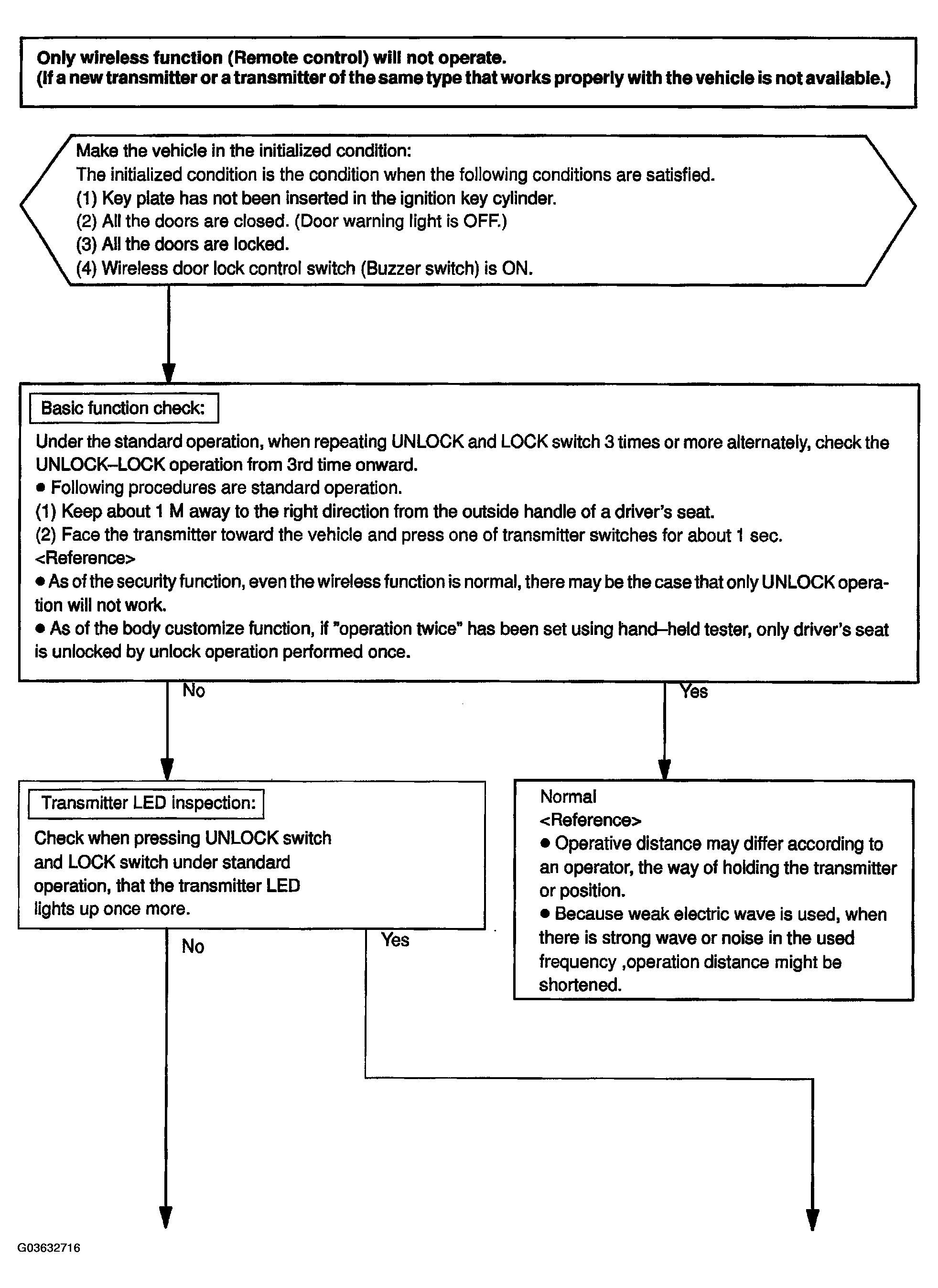
Fig 1: Pre-Check Chart (1 Of 5)
G03632716Courtesy of © TOYOTA, LICENSE AGREEMENT TMS1002
Fig 2: Pre-Check Chart (2 Of 5)
G03632717Courtesy of © TOYOTA, LICENSE AGREEMENT TMS1002
Fig 3: Pre-Check Chart (3 Of 5)
G03632718Courtesy of © TOYOTA, LICENSE AGREEMENT TMS1002
Fig 4: Pre-Check Chart (4 Of 5)
G03632719Courtesy of © TOYOTA, LICENSE AGREEMENT TMS1002
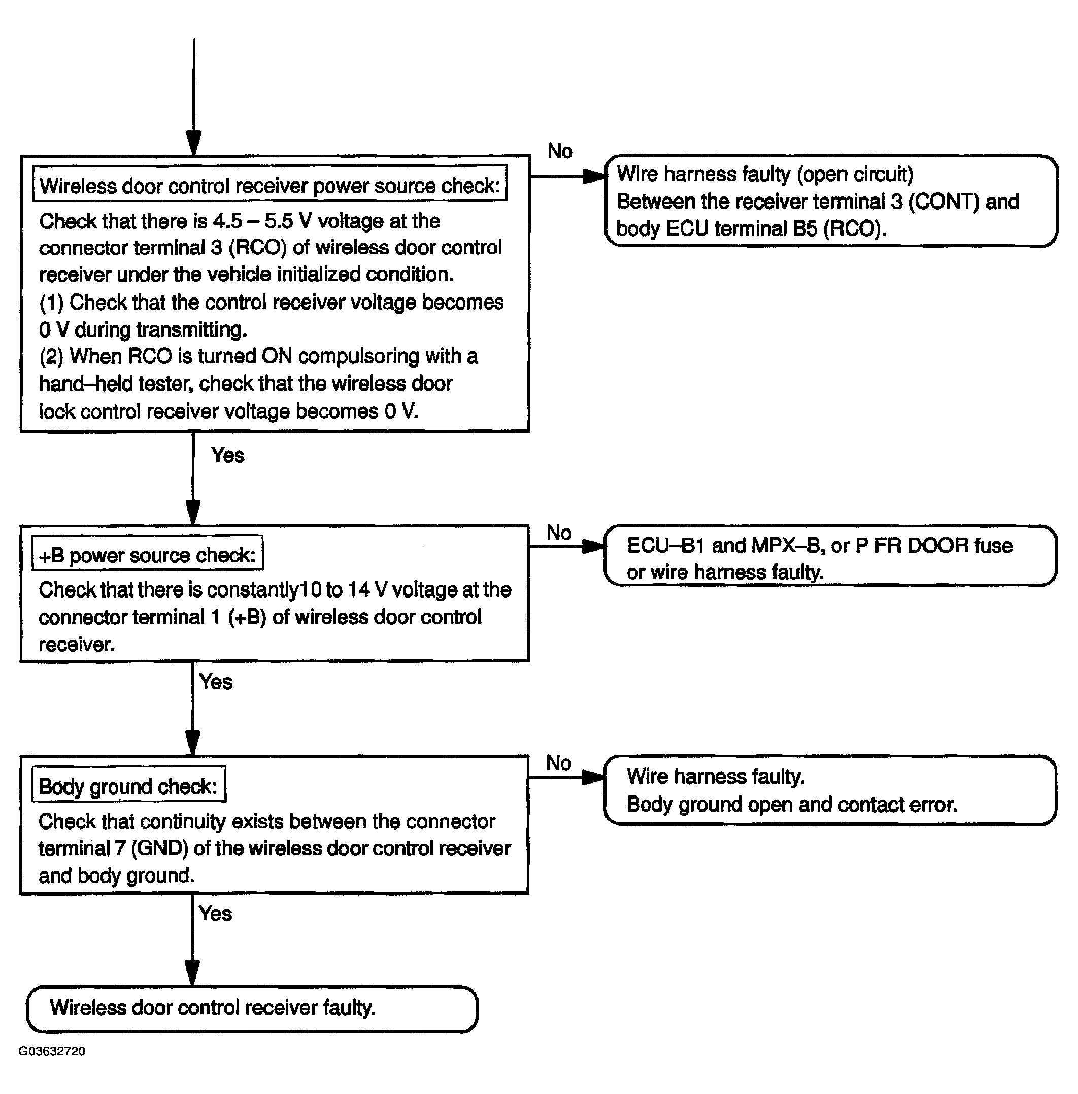
Fig 5: Pre-Check Chart (5 Of 5)
G03632720Courtesy of © TOYOTA, LICENSE AGREEMENT TMS1002