lemon-mirror:
Home >> Lexus >> 2003 >> IS 300 Base, Automatic >> Repair and Diagnosis >> Body & Frame >> Windows >> Power Window Control System >> Troubleshooting

Power Window Control System: Troubleshooting

TROUBLESHOOTING

Malfunction symptoms Applicable chart
Driver's door does not operate. 1
Passenger's and all rear doors do not operate by using the switches at each seat. 2
Any of passenger's and rear doors does not operate by using the switches of each seat. 3
Passenger's and all rear doors are not controlled remotely by using the master switch. (Switches of each door can be operated.) 4
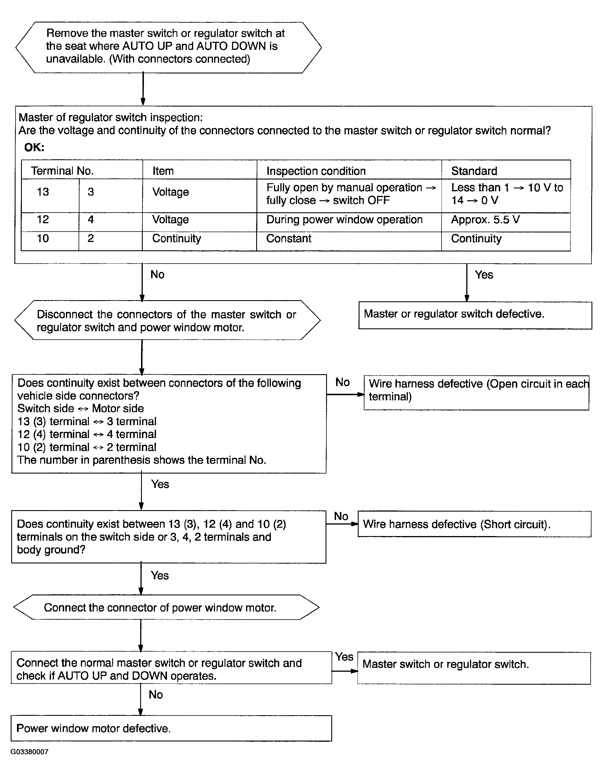
AUTO UP and AUTO DOWN does not operate. (Prepare a normal master switch.) 5
DOWN operation operates during door glass AUTO UP operation. 6
Even though a foreign object is caught, DOWN operation does not function. 7
After ignition switch has been turned to OFF by using a key, power window function does not operate. 8
  1. Driver's door does not operate. 
    Fig 1: Driver's Door Does Not Operate - Flow Chart
    G03380003Courtesy of © TOYOTA, LICENSE AGREEMENT TMS1002
  2. Passenger's and all rear doors do not operate by using the switches of each seat. 
    Fig 2: Passenger'S And All Rear Doors Do Not Operate By Using Switches Of Each Seat - Flow Chart
    G03380004Courtesy of © TOYOTA, LICENSE AGREEMENT TMS1002
  3. Any of passenger's and all rear doors does not operate by using the switches at each seat. 
    Fig 3: Any Of Passenger'S And All Rear Doors Does Not Operate By Using Switches At Each Seat - Flow Chart
    G03380005Courtesy of © TOYOTA, LICENSE AGREEMENT TMS1002
  4. Passenger's and all rear doors are not controlled remotely by using the master switch. (Switches at each door can be operated.) 
    Fig 4: Passenger'S And All Rear Doors Are Not Controlled Remotely By Using Master Switch - Flow Chart
    G03380006Courtesy of © TOYOTA, LICENSE AGREEMENT TMS1002
  5. AUTO UP and AUTO DOWN do not operate. (Prepare a normal master switch.) 
    Fig 5: AUTO UP And AUTO DOWN Do Not Operate (Prepare A Normal Master Switch) - Flow Chart
    G03380007Courtesy of © TOYOTA, LICENSE AGREEMENT TMS1002
  6. DOWN operates during door glass AUTO UP operation. 
    Fig 6: DOWN Operates During Door Glass AUTO UP Operation - Flow Chart
    G03380008Courtesy of © TOYOTA, LICENSE AGREEMENT TMS1002
  7. Even through a foreign object is caught, DOWN operation does not function. 
    Fig 7: Even Through A Foreign Object Is Caught, DOWN Operation Does Not Function - Flow Chart
    G03380009Courtesy of © TOYOTA, LICENSE AGREEMENT TMS1002
  8. After ignition switch has been turned OFF by using a key, power window function does not operate. 
    Fig 8: After Ignition Switch Has Been Turned OFF By Using A Key, Power Window Function Does Not Operate - Flow Chart
    G03380010Courtesy of © TOYOTA, LICENSE AGREEMENT TMS1002