lemon-mirror:
Home >> Lexus >> 2004 >> GS 430 >> Repair and Diagnosis >> Electrical >> Gauges >> Combination Meter System >> How To Proceed With Troubleshooting

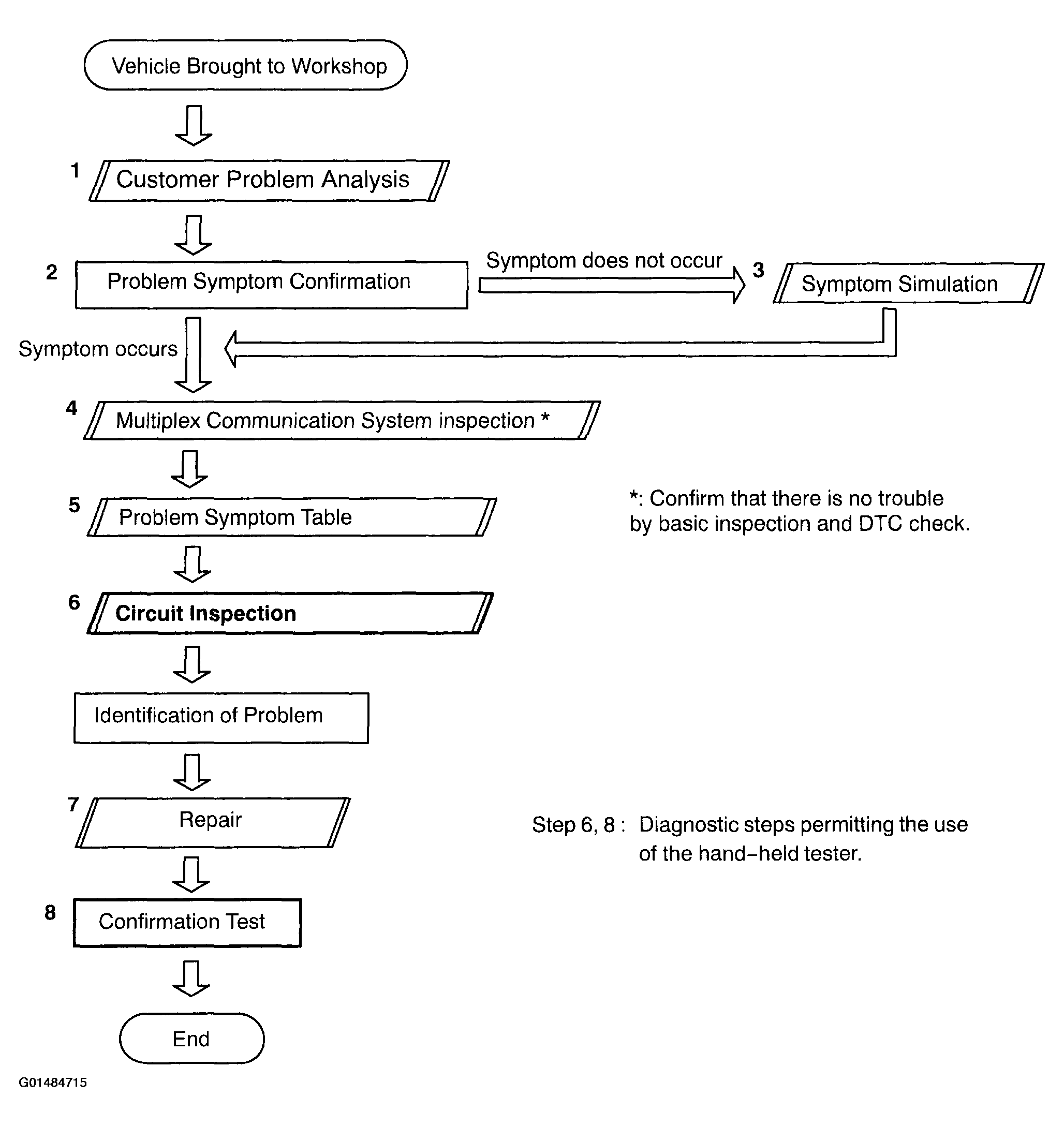
How To Proceed With Troubleshooting

HINT:

The ECU of this system is connected to the multiplex communication system. Therefore, before starting troubleshooting, make sure to check that there is no trouble in the multiplex communication system.

Fig 1: Combination Meter System (Troubleshooting Chart)
G01484715Courtesy of © TOYOTA, LICENSE AGREEMENT TMS1002