lemon-mirror:
Home >> Lexus >> 2004 >> LX 470 >> Repair and Diagnosis >> Transmission >> Transfer Case >> Transfer (Service Specifications) >> Transfer >> Torque Specification

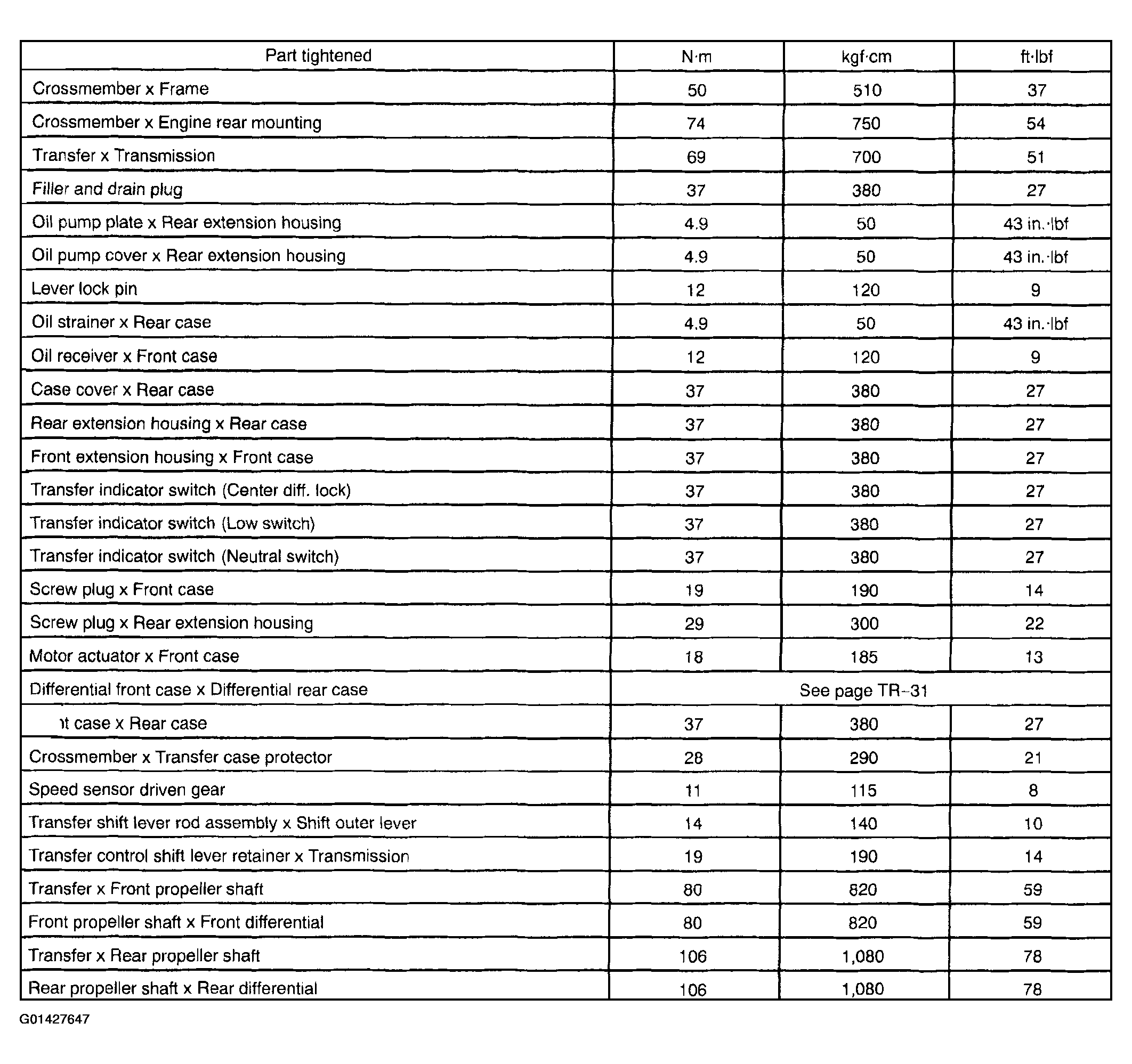
Torque Specification

Fig 1: Transfer Torque Specification
G01427647Courtesy of © TOYOTA, LICENSE AGREEMENT TMS1002