lemon-mirror:
Home >> Lexus >> 2004 >> SC 430 >> Repair and Diagnosis >> Body & Frame >> Door Locks >> Engine Immobilizer System >> Replacement

Engine Immobilizer System: Replacement

  1. DESCRIPTION OF CODE REGISTRATION 

    HINT:

    The key has 2 codes: the key code (immobilizer code) and the wireless code. Both of these types need to be registered. Refer to REPLACEMENT for the wireless code registration procedures.

    1. When adding master keys (including the flat key) and sub-keys (Additional registration).
      1. Register the key code (immobilizer code) to the transponder key ECU.
        Fig 1: Code Registration Reference Table (1 Of 4)
        G00935998Courtesy of © TOYOTA, LICENSE AGREEMENT TMS1002
    2. When replacing the transponder key ECU (New registration).
      1. Register the key code (immobilizer code) in the transponder key ECU.
        Fig 2: Code Registration Reference Table (2 Of 4)
        G00935999Courtesy of © TOYOTA, LICENSE AGREEMENT TMS1002
      2. Register the ECU COMMUNICATION ID between the ECM and the transponder key ECU.
        Fig 3: Code Registration Reference Table (3 Of 4)
        G00936000Courtesy of © TOYOTA, LICENSE AGREEMENT TMS1002
    3. When replacing the ECM
      1. Register the ECU COMMUNICATION ID between the ECM and the transponder key ECU.
        Fig 4: Code Registration Reference Table (4 Of 4)
        G00936001Courtesy of © TOYOTA, LICENSE AGREEMENT TMS1002
  2. KEY REGISTRATION IN AUTOMATIC REGISTRATION (New Registration) 
    1. The new registration of the key codes (immobilizer codes) is made automatically.

      HINT:

      • When you install a new transponder key ECU, the key codes (immobilizer codes) must be registered.
      • A new transponder key ECU starts in the automatic key code registration mode. In this mode, a maximum of 4 key codes for 3 master keys (including the flat key) and 1 sub-key can be registered. Since the transponder key ECU can distinguish types of keys, the registration order is not specified.
      • When registering the flat key, bring the key case close to the ignition key cylinder, because a transponder chip for the key code (immobilizer code) is built in the key case of the flat key.
        Fig 5: Automatic Key Code Registration Flow Chart
        G00936002Courtesy of © TOYOTA, LICENSE AGREEMENT TMS1002

      HINT:

      • When no key is inserted in the ignition key cylinder in the automatic key code registration mode, the security indicator will remain on.
      • When the immobilizer system operates normally and the key is pulled out, the security indicator blinks.
        NOTE: If the key code registration has failed in the automatic key code registration mode, code 2-1 will be output from the security indicator. Trying to re-register an already registered key will cause code 2-2 to be output when the key is inserted. The output details are shown in  Fig 6  . 
        Fig 6: Identifying Security Indicator Blinking Code
        G00936003Courtesy of © TOYOTA, LICENSE AGREEMENT TMS1002
    2. Finish the automatic key code registration mode.

      The automatic key code registration mode can be forced to end when at least 1 key code (immobilizer code) for the master key has been registered.

      1. Turn the ignition switch ON/OFF alternately 5 times within 10 seconds using the already registered master key.
  3. REGISTRATION OF ADDITIONAL KEY (Additional Registration) 
    1. There are 2 ways to register an additional key; one is by manual operation and the other is by using the LEXUS hand-held tester.

      HINT:

      • A maximum of 5 master key codes and 3 sub-key codes can be registered.
      • Registration mode will end if each step is not completed within the specified time.
      • When the ignition cylinder or the key cylinder set is replaced, remove the transmitter module from the original master key in which a transmitter built. Then install this transmitter module to a new key and use it as a master key. If necessary, use this master key to register other keys.
      • When using the flat key, bring the key case close to the key cylinder, because a transponder chip for the key code (immobilizer code) is built in the key case of the flat key.
        NOTE: When only the ignition key cylinder has been replaced, you can lock or unlock doors by wireless operation using the new key with built-in transmitter but not by inserting it in the door key cylinder. Therefore, keep the original key for door lock/unlock operation in order to avoid troubles caused by a dead transmitter battery in the new key. 
      1. By using the LEXUS Hand-held Tester:
        Fig 7: Additional Registration Flow Chart (LEXUS Hand Held Tester)
        G00936004Courtesy of © TOYOTA, LICENSE AGREEMENT TMS1002

        HINT:

        • A brief outline of procedures for key code registration is shown. For detailed information, please refer to the prompts on the screen of the LEXUS hand-held tester.
        • When the immobilizer system operates normally and the key is pulled out, the security indicator blinks.
          NOTE: If the key code registration has failed in the automatic key code registration mode, code 2-1 will be output from the security indicator. Trying to re-register an already registered key will cause code 2-2 to be output when the key is inserted. The output details are shown in step   2  (New Registration). 
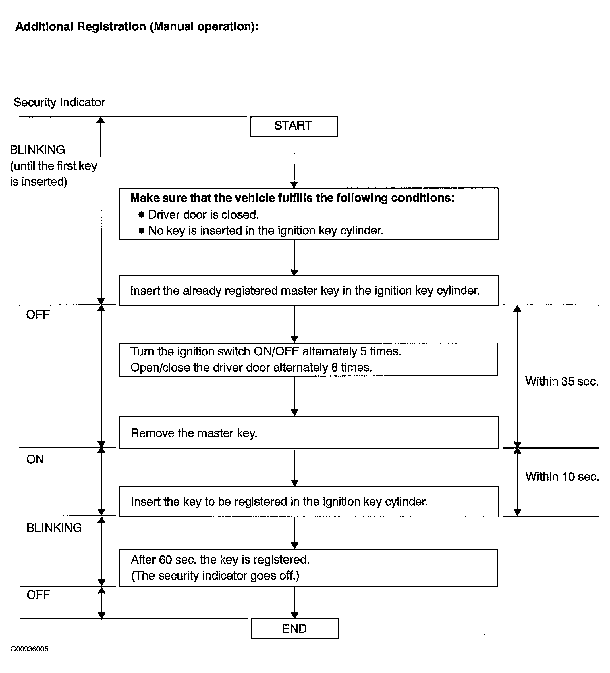
      2. By Manual Operation:
        Fig 8: Additional Registration Flow Chart (Manual Operation)
        G00936005Courtesy of © TOYOTA, LICENSE AGREEMENT TMS1002

        HINT:

        When the immobilizer system operates normally and the key is pulled out, the security indicator blinks.

        NOTE: If the key code registration has failed in the automatic key code registration mode, code 2-1 will +/- output from the security indicator. Trying to re-register an already registered key will cause code 2-2 to be output when the key is inserted. The output details are shown in step   2  (New Registration). 
  4. ERASURE OF KEY CODE 
    1. There are 2 ways to erase key codes; one is by manual operation and the other is by using the LEXUS hand-held tester.

      HINT:

      • All key codes are erased except for the master key which is used for erasure operation.

        In order to use a key for which the code has been erased, it is necessary to register the key code again.

      • Registration operation will be cancelled if each step is not completed within the specified time.
      • When erasing the flat key, bring the key case close to the ignition key cylinder, because a transponder chip for the key code (immobilizer code) is built in the key case of the flat key.
        1. By using the LEXUS Hand-held Tester:
          Fig 9: Erasing Key Code Flow Chart (Lexus Hand-Held Tester)
          G00936006Courtesy of © TOYOTA, LICENSE AGREEMENT TMS1002

          HINT:

          • A brief outline of procedures for key code registration is shown. For detailed information, please refer to the prompts on the screen of the LEXUS hand-held tester.
          • When the immobilizer system operates normally and the key is pulled out, the security indicator blinks.
        2. By Manual Operation:
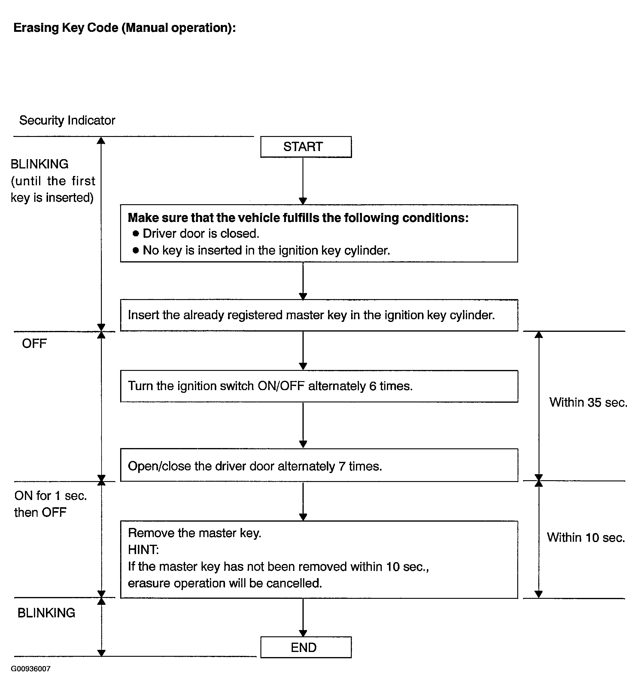
          Fig 10: Erasing Key Code Flow Chart (Manual Operation)
          G00936007Courtesy of © TOYOTA, LICENSE AGREEMENT TMS1002

          HINT:

          When the immobilizer system operates normally and the key is pulled out, the security indicator blinks.

  5. ECU COMMUNICATION ID REGISTRATION 
    NOTE:
    • The ECU communication ID should be registered when the transponder key ECU and/or the ECM is replaced, in order to match these ECM COMMUNICATION ID. 
    • The engine cannot be started unless the ECM COMMUNICATION ID matches. 
    1. Register the ECU communication ID.
      1. After the transponder key ECU and/or the ECM is replaced, turn the ignition switch ON (the engine is not running.).
      2. Short the TC and CG terminals of the DLC3 and leave it as is for 30 minutes.
      3. Check that the engine starts.