lemon-mirror:
Home >> Lexus >> 2005 >> GS 430 >> Repair and Diagnosis >> Transmission >> Automatic Trans >> Automatic Transmission - Service Specifications >> Automatic Transmission >> Service Data

Service Data

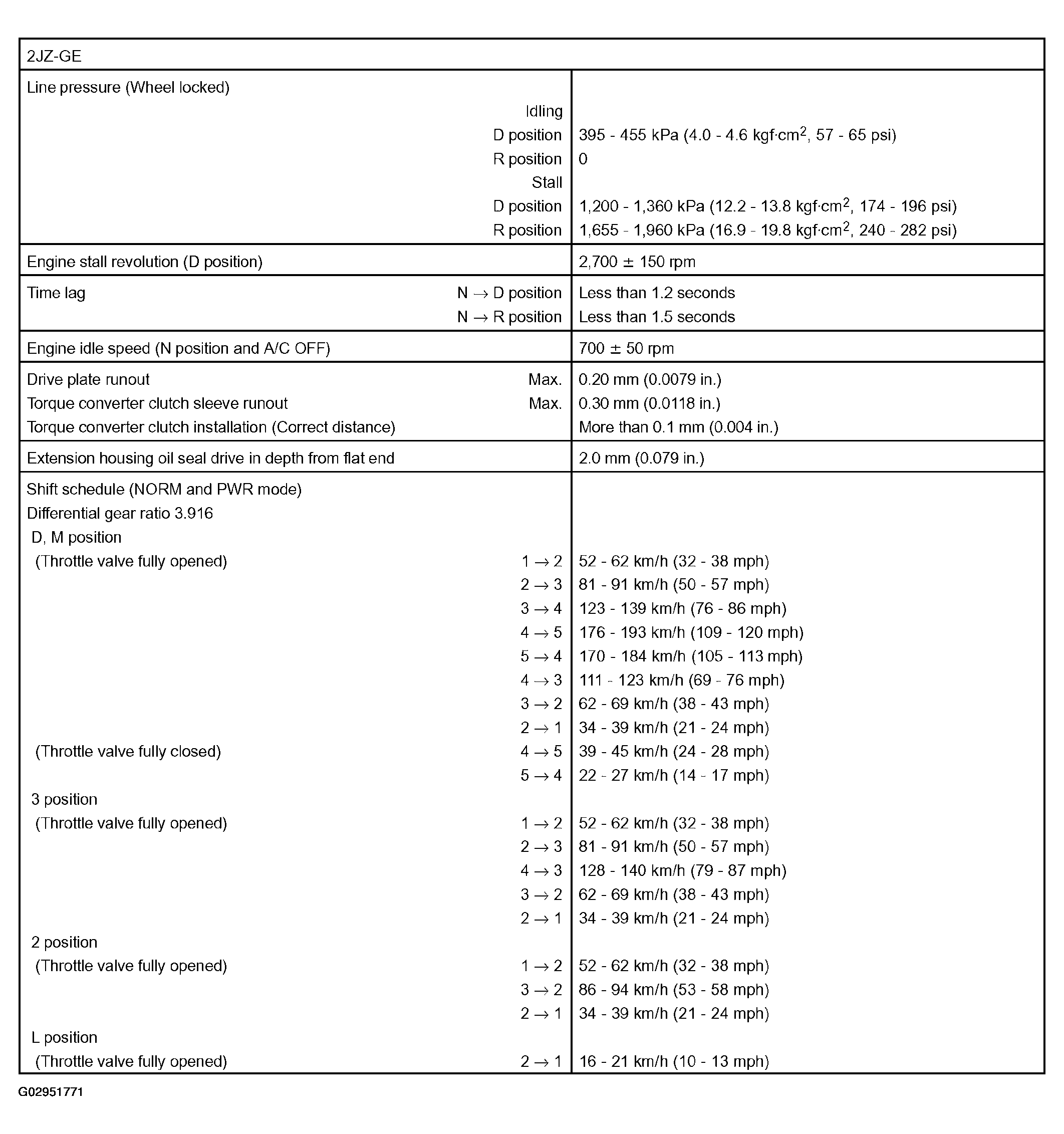
Fig 1: Automatic Transmission Service Specification Chart (1 Of 3)
G02951771Courtesy of © TOYOTA, LICENSE AGREEMENT TMS1002
Fig 2: Automatic Transmission Service Specification Chart (2 Of 3)
G02951772Courtesy of © TOYOTA, LICENSE AGREEMENT TMS1002
Fig 3: Automatic Transmission Service Specification Chart (3 Of 3)
G02951773Courtesy of © TOYOTA, LICENSE AGREEMENT TMS1002