lemon-mirror:
Home >> Lexus >> 2005 >> IS 300 Base, Standard >> Repair and Diagnosis >> Body & Frame >> Door Locks >> Wireless Door Lock Control System >> Pre-Check

Wireless Door Lock Control System: Pre-Check

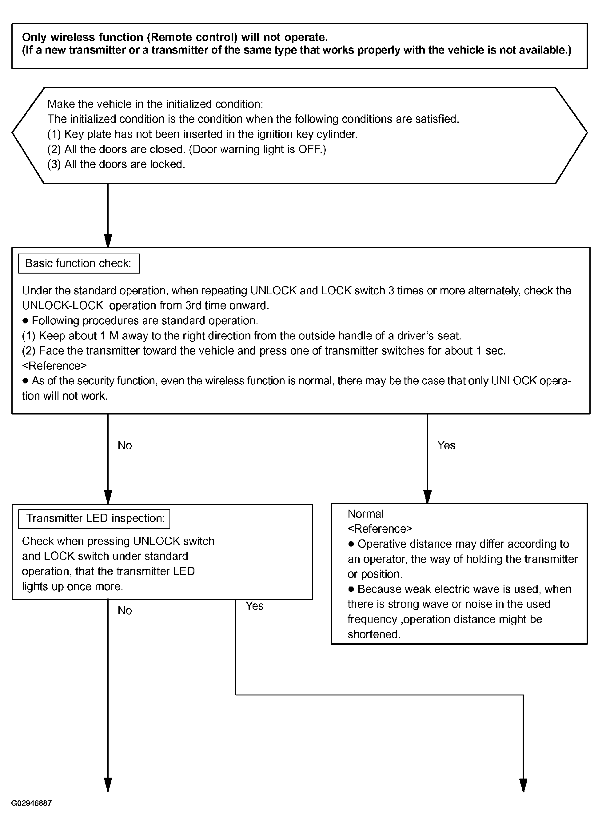
Only wireless function (Remote control) will not operate. 

(If a new transmitter or a transmitter of the same type that works properly with the vehicle is not available.) 

Fig 1: Diagnostic Flow Chart - Wireless Door Lock Control System (1 Of 5)
G02946887Courtesy of © TOYOTA, LICENSE AGREEMENT TMS1002
Fig 2: Diagnostic Flow Chart - Wireless Door Lock Control System (2 Of 5)
G02946888Courtesy of © TOYOTA, LICENSE AGREEMENT TMS1002
Fig 3: Diagnostic Flow Chart - Wireless Door Lock Control System (3 Of 5)
G02946889Courtesy of © TOYOTA, LICENSE AGREEMENT TMS1002
Fig 4: Diagnostic Flow Chart - Wireless Door Lock Control System (4 Of 5)
G02946890Courtesy of © TOYOTA, LICENSE AGREEMENT TMS1002
Fig 5: Diagnostic Flow Chart - Wireless Door Lock Control System (5 Of 5)
G02946891Courtesy of © TOYOTA, LICENSE AGREEMENT TMS1002