lemon-mirror:
Home >> Lexus >> 2005 >> LX 470 >> Repair and Diagnosis >> Body & Frame >> Door Locks >> Wireless Door Lock Control System >> Registration Procedure >> How To Code Registration

How To Code Registration

NOTE: When replacing the theft deterrent ECU or transmitter, registration of recognition code is necessary because they are provided as a single components.
  1. Select the operation mode.
    • Add mode
    • Rewrite mode
    • Prohibition mode
    • Confirmation mode

    HINT:

    • The "Add mode" is for adding new recognition codes while retaining the already registered codes. This mode is used when the transmitter is added. When the number of the registered codes exceeds 4 codes, the previously registered codes will be erased in order, staring from the first registered code.
    • The "Rewrite mode" is for erasing all the registered codes and registering newly recognized codes only. This mode is used when the transmitter or the door control receiver is replaced.
    • The "Prohibition mode" is for erasing all the registered codes to prohibit the wireless door lock operation. This mode is used when the transmitter is lost.
    • The "Confirmation mode" is for confirming the number of recognition codes that are registered. This mode is used to check the number of registered codes when new codes are added to the registration, etc.
  2. Follow the chart on the following page to register the transmitter recognition code to the theft deterrent ECU.

    HINT:

    • When procedure is outside the specification, the registration operation is cancelled.
    • Maximum of 4 recognition codes can be registered.
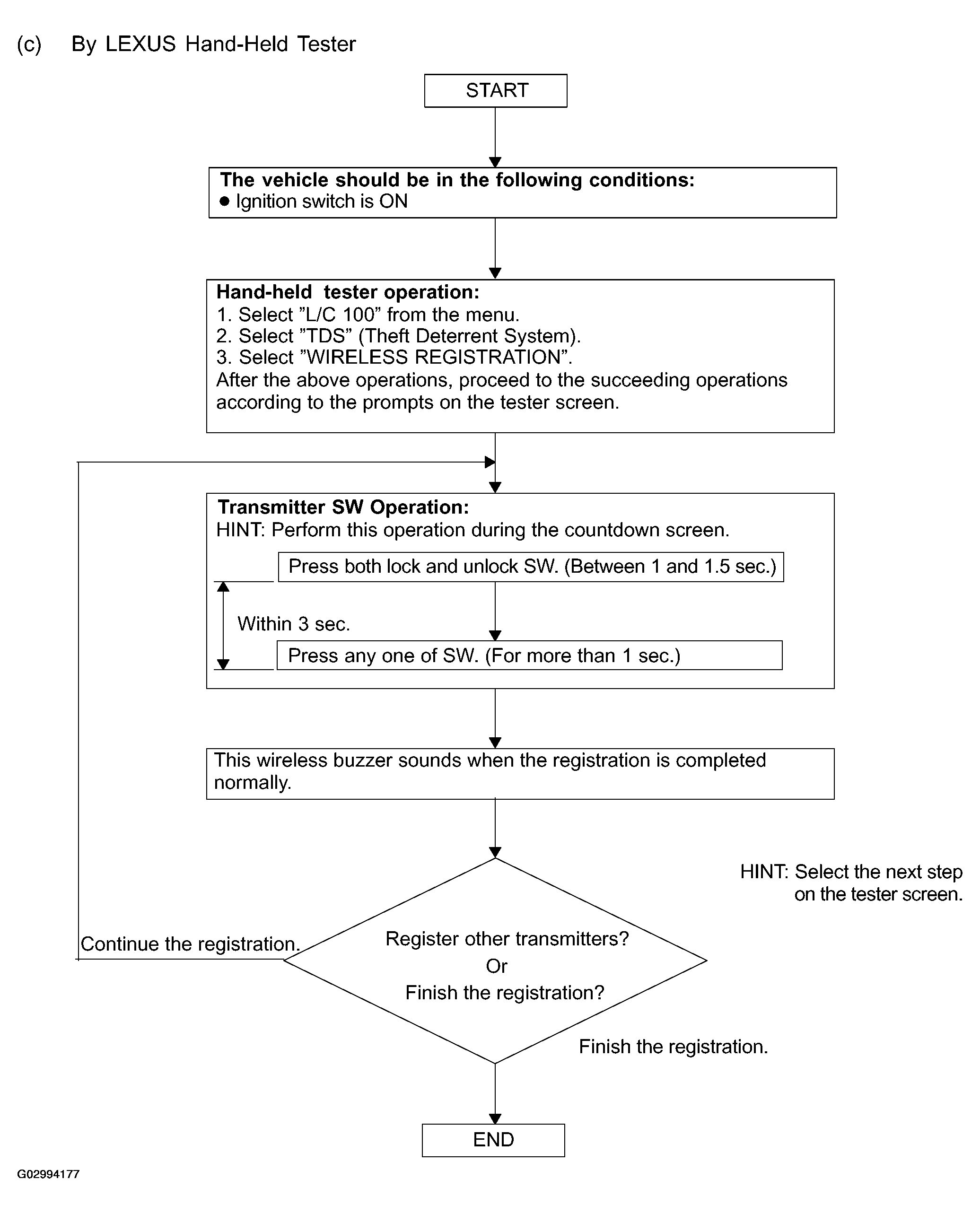
  3. By LEXUS Hand-Held Tester
    Fig 1: Wireless Door Lock Control System Registration Flow Chart - LEXUS Hand-Held Tester
    G02994177Courtesy of © TOYOTA, LICENSE AGREEMENT TMS1002

    HINT:

    This page is to show the registration procedure briefly using the hand-held tester.

    For detailed procedures, please refer to the prompts on the tester screen.

    The number of currently registered codes can be checked out on the first screen of the WIRELESS REGISTRATION.

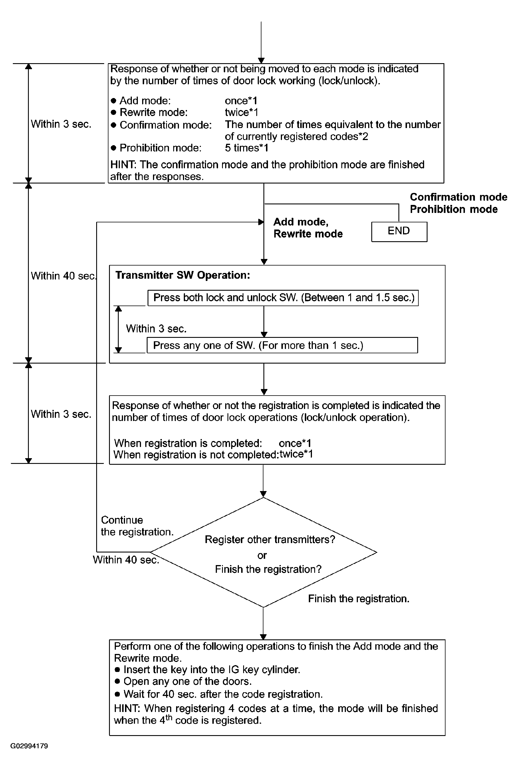
  4. By Switch Operation:
    Fig 2: Wireless Door Lock Control System Registration Flow Chart - Switch Operation (1 Of 2)
    G02994178Courtesy of © TOYOTA, LICENSE AGREEMENT TMS1002
    Fig 3: Wireless Door Lock Control System Registration Flow Chart - Switch Operation (2 Of 2)
    G02994179Courtesy of © TOYOTA, LICENSE AGREEMENT TMS1002

    HINT:

    Operation cycle of the door lock (lock/unlock operation)

    Fig 4: Identifying Door Lock Motor Operation Cycle
    G02994180Courtesy of © TOYOTA, LICENSE AGREEMENT TMS1002