lemon-mirror:
Home >> Lexus >> 2006 >> LS 430 >> Repair and Diagnosis >> Engine Performance >> System >> SFI System - Diagnostics >> Terminals Of ECM

Terminals Of ECM

Fig 1: Identifying ECM Connector Terminals
G03003875Courtesy of © TOYOTA, LICENSE AGREEMENT TMS1002

HINT:

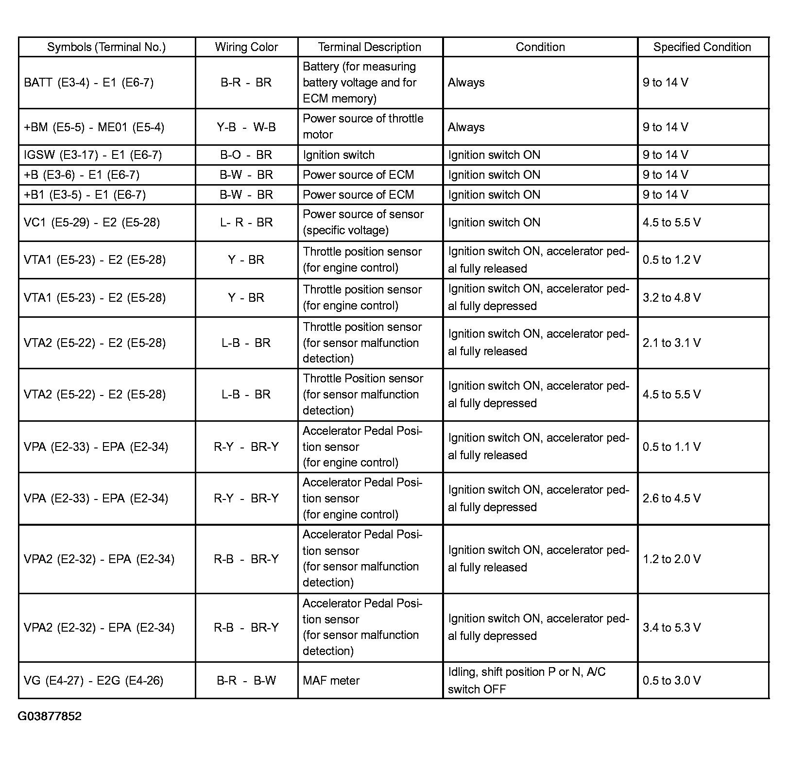
Each ECM terminal's standard voltage is shown in the table below.

In the table, first follow the information under "Condition". Look under "Symbols (Terminal No.)" for the terminals to be inspected. The standard voltage between the terminals is shown under "Specified Condition".

Use the illustration above as a reference for the ECM terminals.

Fig 2: Identifying ECM Reference Chart (1 Of 3)
G03877852Courtesy of © TOYOTA, LICENSE AGREEMENT TMS1002
Fig 3: Identifying ECM Reference Chart (2 Of 3)
G03003876Courtesy of © TOYOTA, LICENSE AGREEMENT TMS1002
Fig 4: Identifying ECM Reference Chart (3 Of 3)
G03003877Courtesy of © TOYOTA, LICENSE AGREEMENT TMS1002

WAVEFORM 1 

  1. Throttle actuator positive terminal
  2. Fig 5: Identifying Waveform 1 Pattern
    G03003878Courtesy of © TOYOTA, LICENSE AGREEMENT TMS1002
WAVEFORM 1 REFERENCE TABLE

ECM Terminal Name Between M+ and ME01
Tester Range 5 V/DIV, 1 msec./DIV
Condition Idle after engine warmed-up

HINT:

The duty ratio varies depending on the throttle opening operation.

WAVEFORM 2 

  1. Throttle actuator negative terminal
    Fig 6: Identifying Waveform 2 Pattern
    G03003879Courtesy of © TOYOTA, LICENSE AGREEMENT TMS1002
WAVEFORM 2 REFERENCE TABLE

ECM Terminal Name Between M- and ME01
Tester Range 5 V/DIV, 1 msec./DIV
Condition Idle after engine warmed-up

HINT:

The duty ratio varies depending on the throttle opening operation.

WAVEFORM 3 

  1. Camshaft position sensor
  2. Crankshaft position sensor
  3. Fig 7: Identifying Waveform 3 Pattern
    G03003881Courtesy of © TOYOTA, LICENSE AGREEMENT TMS1002
Fig 8: Waveform 3 Reference Chart
G03003880Courtesy of © TOYOTA, LICENSE AGREEMENT TMS1002

HINT:

The wavelength becomes shorter as engine RPM increases.

WAVEFORM 4 

  1. VVT sensor bank 1
  2. VVT sensor bank 2
  3. Crankshaft position sensor
  4. Fig 9: Identifying Waveform 4 Pattern
    G03003883Courtesy of © TOYOTA, LICENSE AGREEMENT TMS1002
Fig 10: Waveform 4 Reference Chart
G03003882Courtesy of © TOYOTA, LICENSE AGREEMENT TMS1002

HINT:

The wavelength becomes shorter as engine RPM increases.

WAVEFORM 5 

  1. Vehicle speed signal
    Fig 11: Identifying Waveform 5 Pattern
    G03003884Courtesy of © TOYOTA, LICENSE AGREEMENT TMS1002
WAVEFORM 5 REFERENCE TABLE

ECM Terminal Name Between SP2+ and SP2-
Tester Range 1 V/DIV, 10 msec./DIV
Condition Driving by 40 km/h (25 mph)

HINT:

The wavelength becomes shorter as vehicle speed increases.

WAVEFORM 6 

  1. Igniter IGT signal (from ECM to igniter)
  2. Igniter IGF signal (from igniter to ECM)
  3. Fig 12: Identifying Waveform 6 Pattern
    G03003886Courtesy of © TOYOTA, LICENSE AGREEMENT TMS1002
Fig 13: Waveform 6 Reference Chart
G03003885Courtesy of © TOYOTA, LICENSE AGREEMENT TMS1002

HINT:

The wavelength becomes shorter as engine RPM increases.

WAVEFORM 7 

  1. Fuel injector
    Fig 14: Identifying Waveform 7 Pattern
    G03003887Courtesy of © TOYOTA, LICENSE AGREEMENT TMS1002
WAVEFORM 7 REFERENCE TABLE

ECM Terminal Name Between #10 (to 80) and E1
Tester Range 20 V/DIV, 20 msec./DIV
Condition Idling

HINT:

The wavelength becomes shorter as engine RPM increases.

WAVEFORM 8 

  1. EVAP VSV
  2. Fig 15: Identifying Waveform 8 Pattern
    G03003888Courtesy of © TOYOTA, LICENSE AGREEMENT TMS1002
WAVEFORM 8 REFERENCE TABLE

ECM Terminal Name Between PRG and E1
Tester Range 5 V/DIV, 50 msec./DIV
Condition Accelerated slowly after engine warmed-up

HINT:

In cases where the EVAP VSV can be used to purge EVAP, the waveform will not be displayed as shown on the left. In the DATA LIST, the item EVAP PURGE VSV shows the duty ratio of voltage flowing to the purge valve.

Duty ratio for EVAP VSV (%) = A/B x 100

WAVEFORM 9 

  1. VVT OCV
  2. Fig 16: Identifying Waveform 9 Pattern
    G03003890Courtesy of © TOYOTA, LICENSE AGREEMENT TMS1002
Fig 17: Waveform 9 Reference Chart
G03003889Courtesy of © TOYOTA, LICENSE AGREEMENT TMS1002

HINT:

In the DATA LIST, the items VVT OCV DUTY B1 and B2 show the duty ratio of voltage flowing to the OCV (see illustration ).

VVT OCV DUTY B1, B2 = A/B x 100 (%)

WAVEFORM 10 

  1. HO2S (sensor 1)
    Fig 18: Identifying Waveform 10 Pattern
    G03003892Courtesy of © TOYOTA, LICENSE AGREEMENT TMS1002
    Fig 19: Waveform 10 Reference Chart
    G03003891Courtesy of © TOYOTA, LICENSE AGREEMENT TMS1002

    HINT:

    In the DATA LIST, the items HO2S B1 S1 and HO2S B2 S1 show the ECM input values of the HO2S (sensor 1).

    WAVEFORM 11 

    1. HO2S (sensor 2)
    2. Fig 20: Identifying Waveform 11 Pattern
      G03003894Courtesy of © TOYOTA, LICENSE AGREEMENT TMS1002
    Fig 21: Waveform 11 Reference Chart
    G03003893Courtesy of © TOYOTA, LICENSE AGREEMENT TMS1002

    HINT:

    In the DATA LIST, the items HO2S B1 S2 and HO2S B2 S2 show the ECM input values of the rear HO2S (sensor 2).

    WAVEFORM 12 

    1. Knock sensor
    2. Fig 22: Identifying Waveform 12 Pattern
      G03003896Courtesy of © TOYOTA, LICENSE AGREEMENT TMS1002
    Fig 23: Waveform 12 Reference Chart
    G03003895Courtesy of © TOYOTA, LICENSE AGREEMENT TMS1002

    HINT:

    • The wavelength becomes shorter as engine RPM increases.
    • The waveforms and amplitudes displayed differ slightly depending on the vehicle.

    WAVEFORM 13 

    1. Cooling fan
    2. Fig 24: Identifying Waveform 13 Pattern
      G03003897Courtesy of © TOYOTA, LICENSE AGREEMENT TMS1002
    WAVEFORM 13 REFERENCE TABLE

    ECM Terminal Name Between RFC and E1
    Tester Range 1 V/DIV, 20 msec./DIV
    Condition Idling and A/C: ON

    HINT:

    The duty ratio (labeled A and B in the illustration) changes depending on the engine coolant temperature.