lemon-mirror:
Home >> Mazda >> 1993 >> 929 >> Repair and Diagnosis >> Engine Performance >> System >> Engine Controls - Tests W/Codes >> Trouble Code Identification >> Code 17 & 24: (Left/Right Side Feedback System)

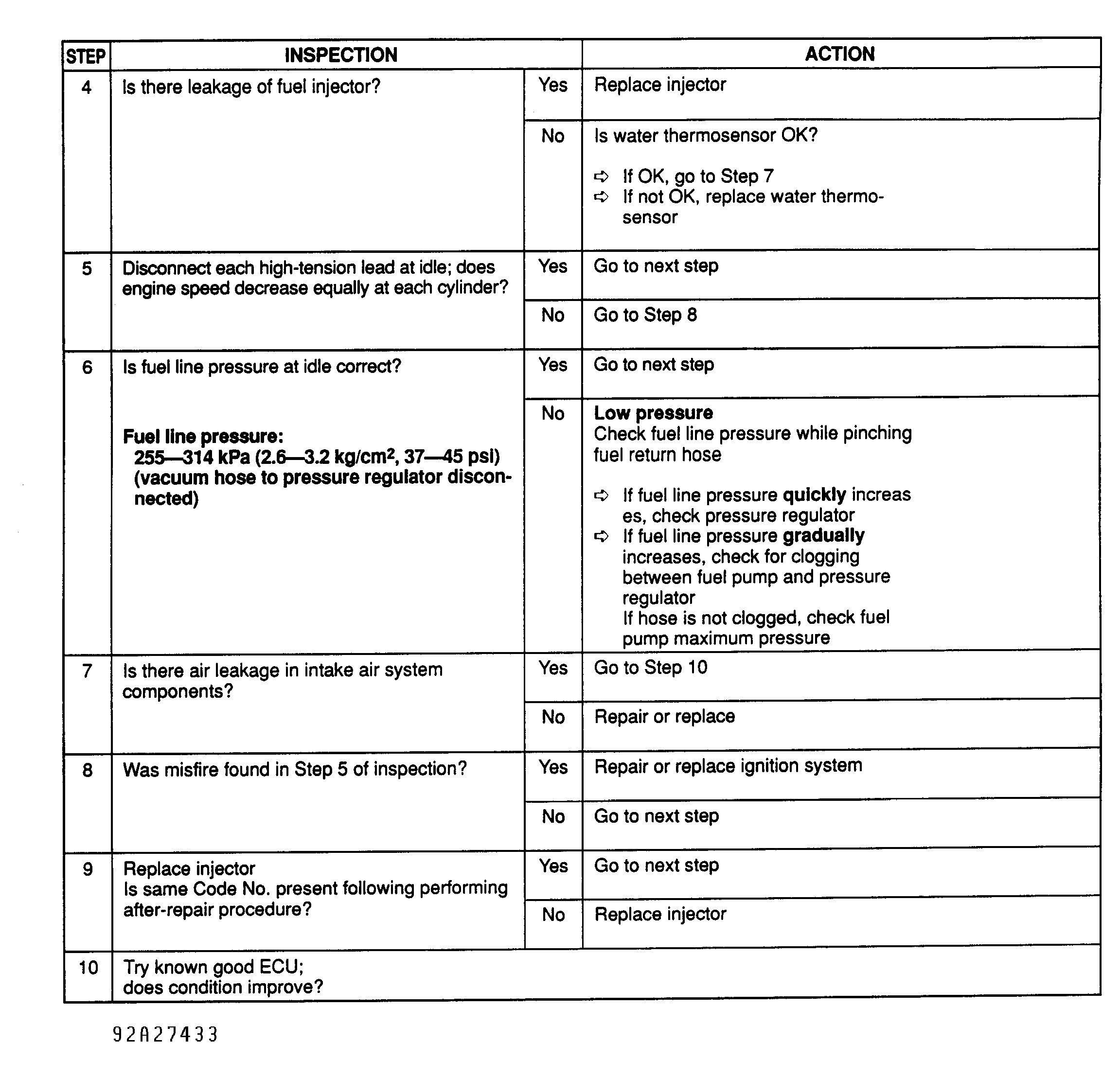
Code 17 & 24: (Left/Right Side Feedback System)

Fig 1: Trouble Code No. 17/24 - Diagnostic Flowchart (1 Of 2)
G92J27432Courtesy of MAZDA MOTORS CORP.
Fig 2: Trouble Code No. 17/24 - Diagnostic Flowchart (2 Of 2)
G92A27433Courtesy of MAZDA MOTORS CORP.