lemon-mirror:
Home >> Mazda >> 2000 >> MPV DX >> Repair and Diagnosis >> External Pages >> Different car >> Section 563 (Security System And Locks System) >> Keyless Control Module Id Code Change

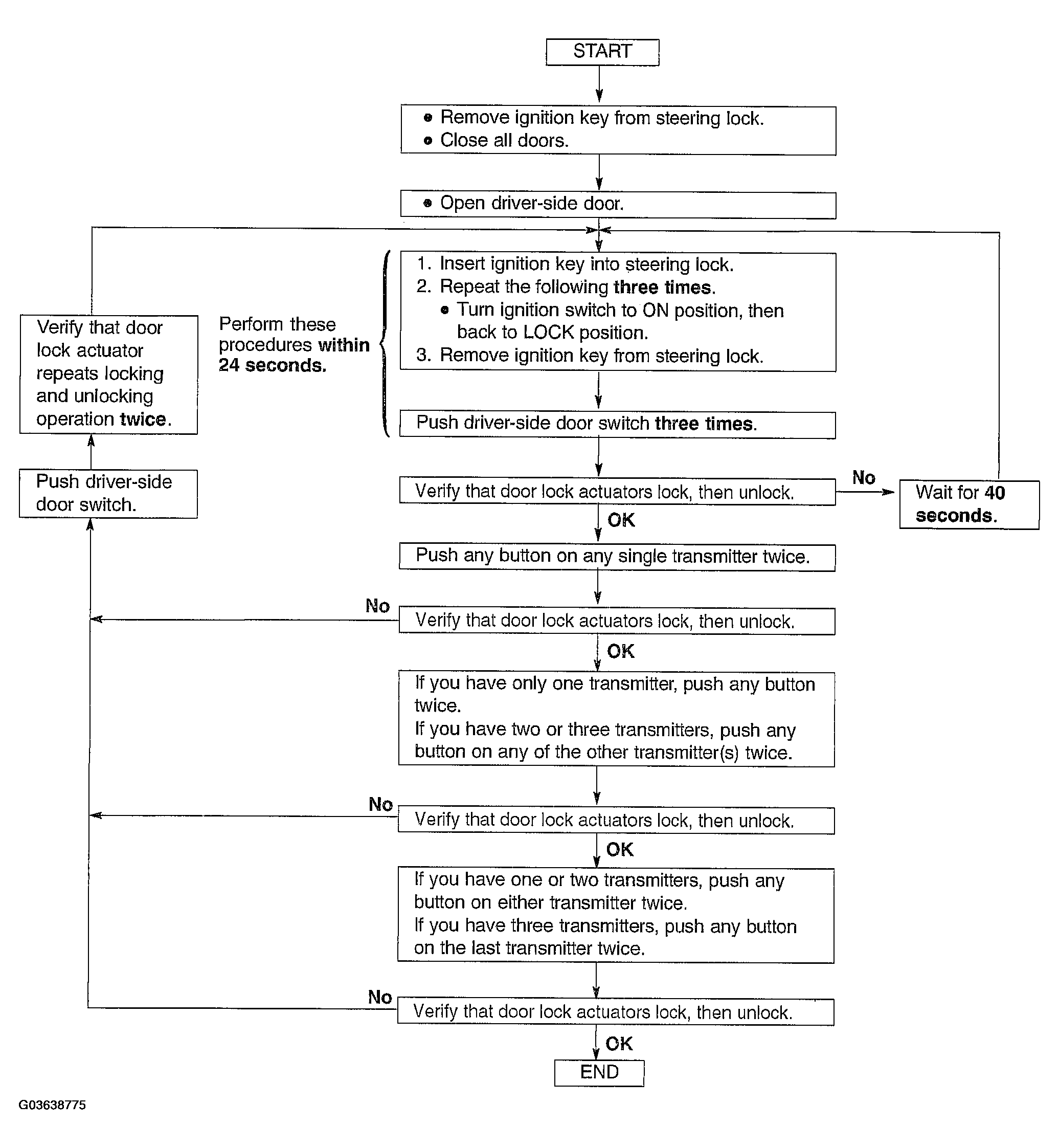
Keyless Control Module Id Code Change

WARNING: This page is about a different car, the 2005 Mazda MX-5 Miata. However, it is still accessible from the selected car via links, so may be relevant.