lemon-mirror
:
Home
>>
Mazda
>>
2002
>>
Protege5 Automatic
>>
Repair and Diagnosis (Single Page)
>>
Body & Frame
>>
Door Locks
>>
Anti-Theft System & Keyless Entry System
>>
Keyless Control Module Id Code Change
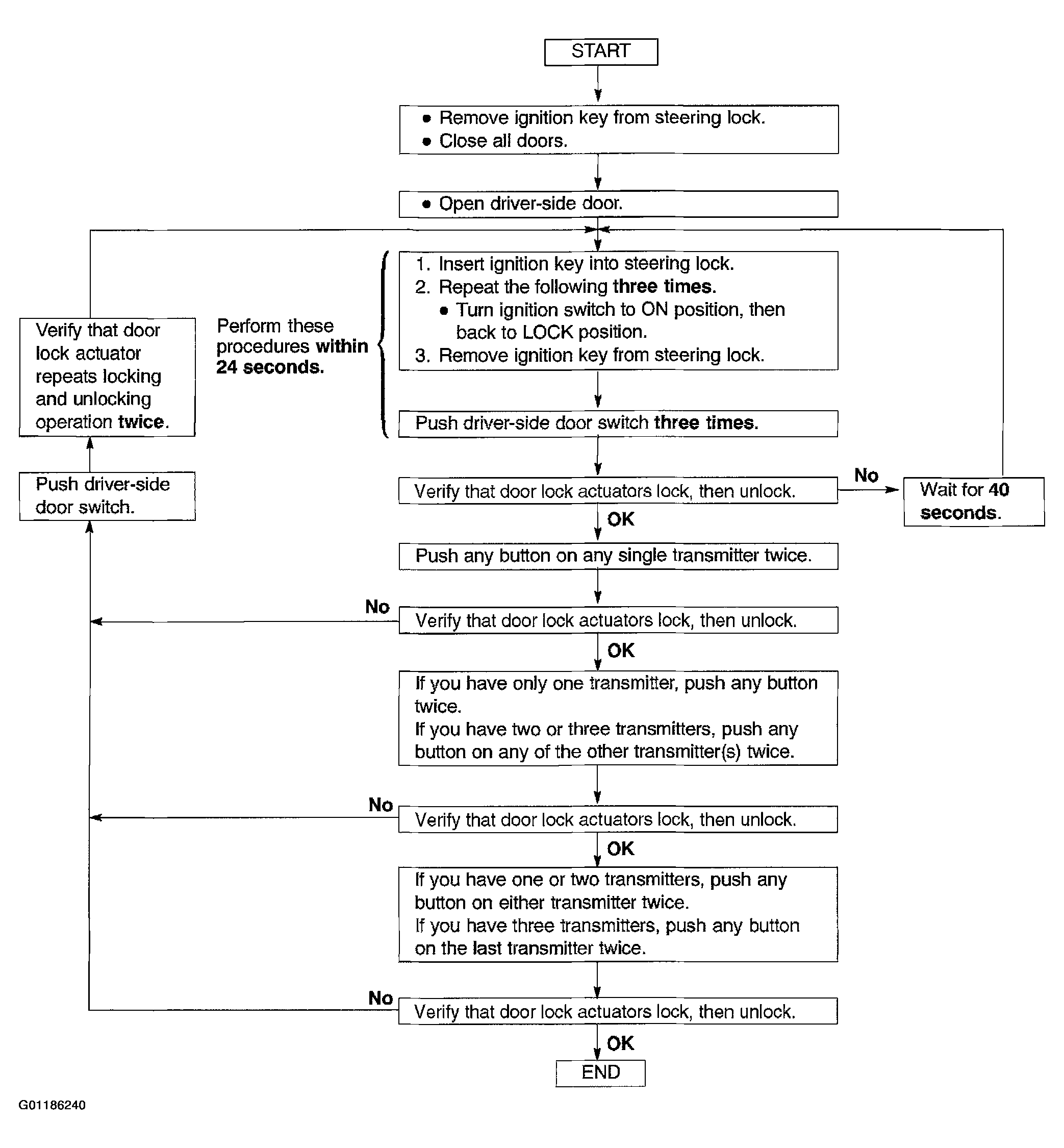
Keyless Control Module Id Code Change
When programming the ID code into a transmitter, verify that other transmitters are not being operated in the vicinity.
Program the ID code as indicated in the procedure.
Fig 1: Keyless Control Module Id Code Change Procedure
Courtesy of MAZDA MOTORS CORP.