lemon-mirror:
Home >> Mazda >> 2002 >> Protege5 Automatic >> Repair and Diagnosis >> Electrical >> Horns >> Instrument Panel >> Instrument Cluster Input/Output Check Mode >> Operating Order

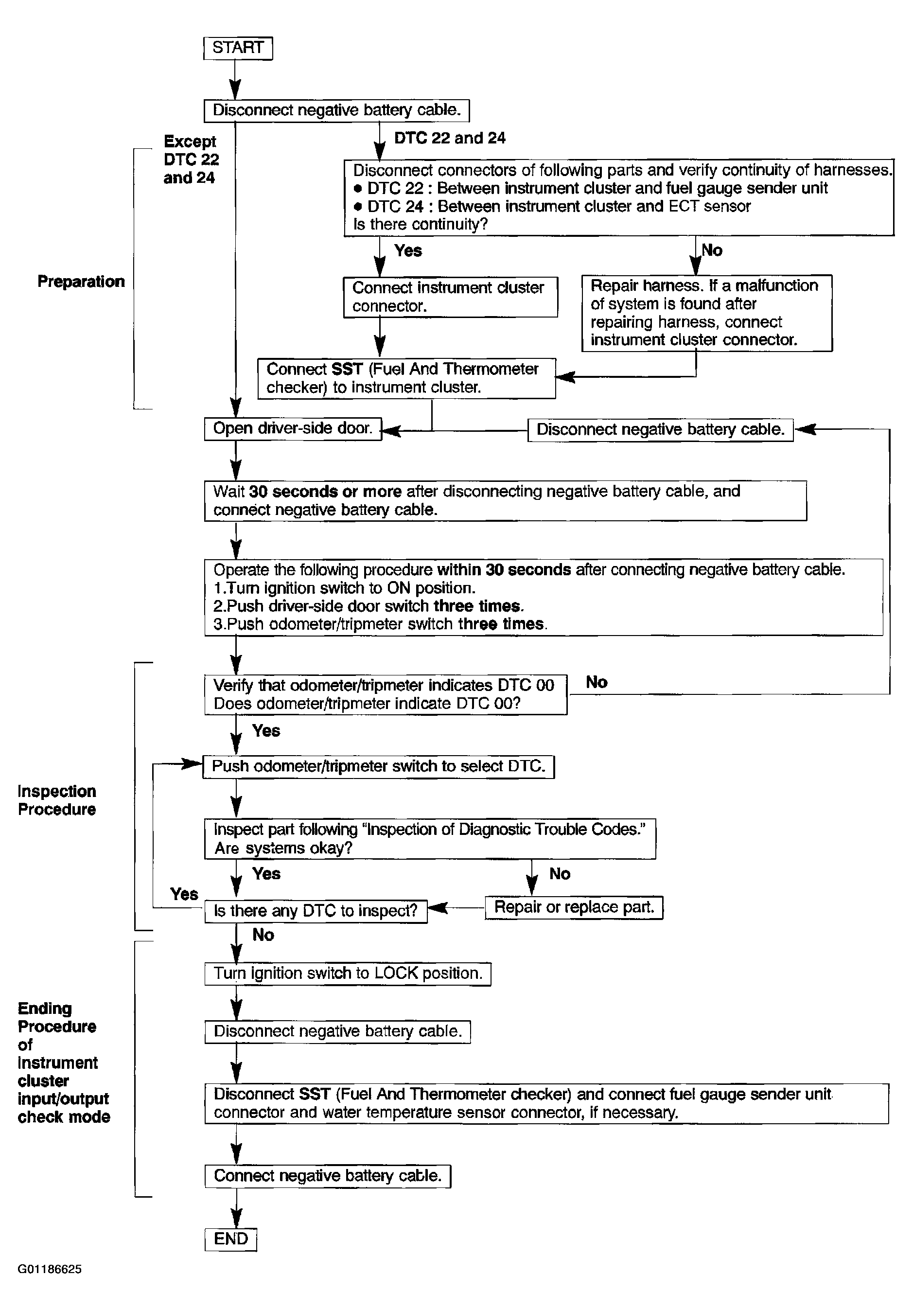
Operating Order

Fig 1: Operating Order Flow Chart
G01186625Courtesy of MAZDA MOTORS CORP.