lemon-mirror:
Home >> Mazda >> 2003 >> 6 s, Automatic >> Repair and Diagnosis >> Electrical >> Horns >> Instrumentation/Driver Info >> Instrument Cluster Input/Output Check Mode >> Operating Order

Operating Order

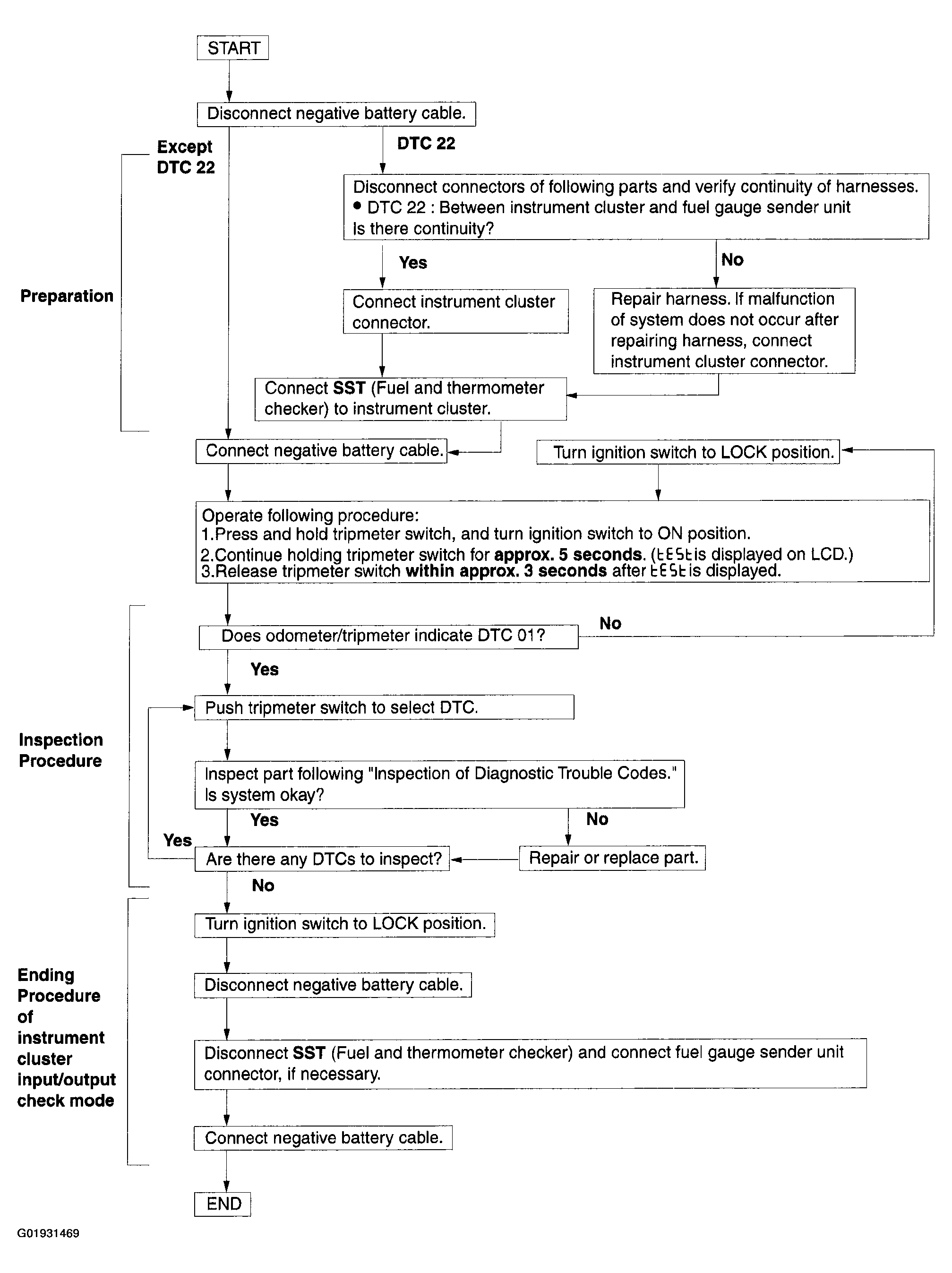
Fig 1: Instrument Cluster Input/Output Check Mode Procedure Chart
G01931469Courtesy of MAZDA MOTORS CORP.